Most certainly. The VSS can be the entire problem. However, before just replacing it, have you checked for diagnostic trouble codes? Usually a bad sensor will set a code indicating the failure.
Pic 1 shows VSS location.
If you check the VSS and it's good, continue to the next test.
If you get a code 16, there is most likely an issue with the VSS buffer. Here are the directions for testing it.
CIRCUIT DESCRIPTION
This DTC concerns a loss of 2002 pulses per mile to the PCM terminal "F13." This may be caused by loss of power to the Vehicle Speed Sensor (VSS) buffer or an open or grounded signal line.
DTC 16 WILL SET WHEN
Less than 2 mph.
1400 to 5000 rpm.
Throttle angle less than 2%.
ECT greater than 60°C (140°F).
MAP less than or equal to 27 kPa.
CKT 1716 open or grounded.
All conditions must be met for 2 seconds.
ACTION TAKEN (PCM WILL DEFAULT TO)
None.
DTC 16 WILL CLEAR WHEN
Conditions for fault are no longer present and Tech 1 "clear DTCs" function is used or 50 ignition switch keycycles have passed with no further faults or ignition switch is turned "OFF" and battery feed voltage is removed for 10 seconds.
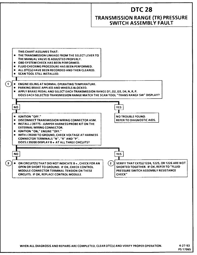
DTC CHART TEST DESCRIPTION
Number(s) below refer to circled number(s) on the diagnostic chart.
1. This tests for B+ at VSS buffer.
2. This tests for proper ground path for vehicle speed sensor signal buffer.
3. This tests for vehicle speed sensor signal buffer signal to PCM.
4. This test checks for faulty connections and a faulty VSS buffer.
DIAGNOSTIC AIDS
Check connections at VSS buffer and PCM. Refer to appropriate trouble codes if DTC 24 or DTC 72 is also set.
The remaining pics are a flow chart for checking this issue. The last two pics show location of the VSS buffer.
Let me know if this helps or if you have other questions
Joe
Was this helpful?
Yes
No
Thursday, May 6th, 2021 AT 10:34 AM
(Merged)





















