Hard shifting, codes PO133, PO781 and P1336

Tiny
ADAMDRIVES
  • MEMBER
  • 21 POSTS
Thanks, I will head on out and get the relearn procedure going. Do you have a recommended tool that I could look out for? Can I have a non-dealership shop do it?
Was this
answer
helpful?
Yes
No
Friday, July 16th, 2021 AT 11:51 AM
Tiny
ASEMASTER6371
  • MECHANIC
  • 52,796 POSTS
Any shop with an advanced scan tool can perform this procedure. It takes about 30 minutes.

Roy
Was this
answer
helpful?
Yes
No
+1
Friday, July 16th, 2021 AT 2:24 PM
Tiny
ADAMDRIVES
  • MEMBER
  • 21 POSTS
So I took it to a shop and the car wouldn't pass the crankshaft relearn procedure. Said there could be internal pressure, transmission pump problems, clutch pack issues, electrical, or even the solenoids might be stuck because we got another "Solenoid B stuck on or off" error code. He was a cool guy, doesn't deal with transmissions. Don't know where to go from here. I'll go to the dealer Monday and will keep you posted.
Was this
answer
helpful?
Yes
No
Saturday, July 17th, 2021 AT 4:35 PM
Tiny
ASEMASTER6371
  • MECHANIC
  • 52,796 POSTS
It still needs the relearn completed before you do anything.

What was the new code?

Roy
Was this
answer
helpful?
Yes
No
+1
Saturday, July 17th, 2021 AT 5:02 PM
Tiny
ADAMDRIVES
  • MEMBER
  • 21 POSTS
The guy said it was the error code associated with Solenoid B being stuck on or off and during the process they said it wasn't giving any misfires but then said it was registering as a misfire and the crankshaft relearn failed. I took a picture of the codes and the message the scanner gave.

It was a Snap on Titan and gave a PO756 and PO789 error codes and the guy said it did the relearn. The message on the scanner during the process said: "Crankshaft Position variation not will not learn this ignition cycle because the Total Misfire Failures test did not pass. Turn engine off, exit test and try again."

Thanks
Was this
answer
helpful?
Yes
No
Saturday, July 17th, 2021 AT 6:34 PM
Tiny
ASEMASTER6371
  • MECHANIC
  • 52,796 POSTS
Okay, did it complete the relearn? You said it did and then you said it did not. I am confused.

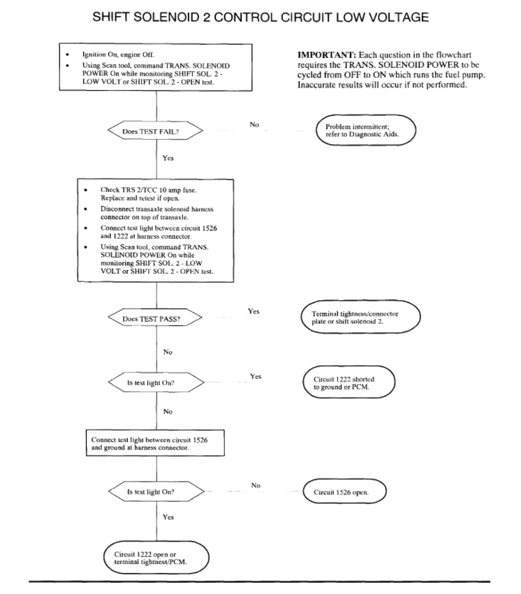
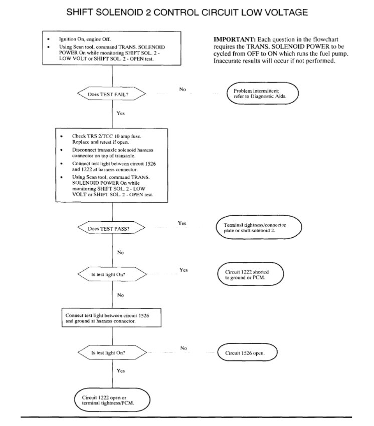
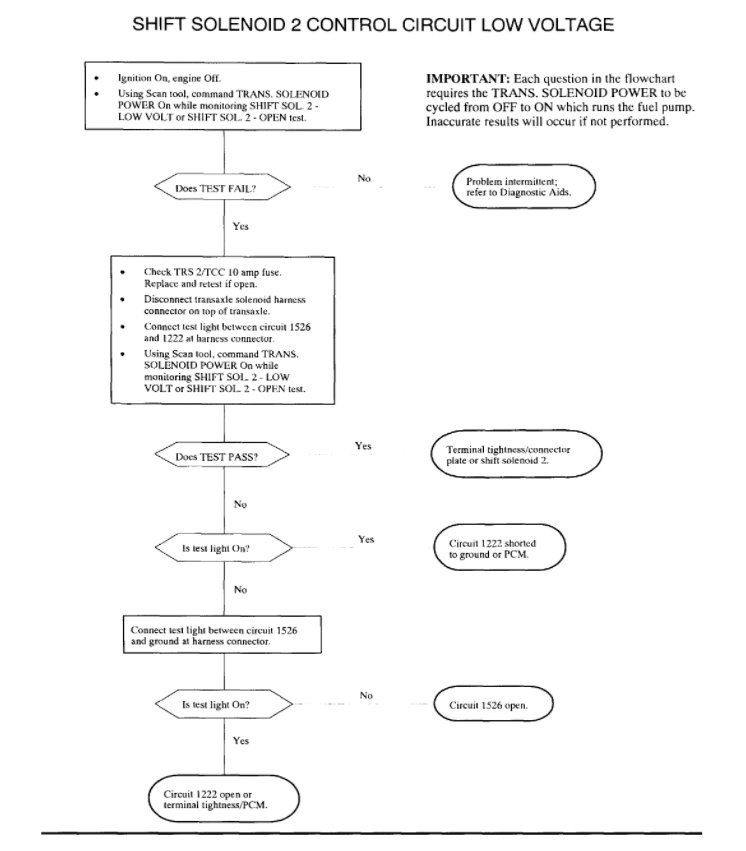
I attached the flow chart for both codes. This looks to be electrical. You will need an advanced scan tool to monitor the action of the solenoids when commanded open and closed.

Roy
Was this
answer
helpful?
Yes
No
+1
Saturday, July 17th, 2021 AT 7:02 PM
Tiny
ADAMDRIVES
  • MEMBER
  • 21 POSTS
Sorry I may have worded things wrong, I've been out in the heat all day. When I went in, it took three different mechanics to try to get the crankshaft relearn going, during the first two attempts is when they got the message of it failing.

The last guy working on it said it gave those two error codes and that it did complete the relearn procedure but then discussed the potential causes of the hard shifting. I personally don't know if it learned or not, I might have to plug it into another OBD to see if that DTC shows up again.

I appreciate the diagrams, I am starting to think it is an electrical issue.
Was this
answer
helpful?
Yes
No
Saturday, July 17th, 2021 AT 7:21 PM
Tiny
ASEMASTER6371
  • MECHANIC
  • 52,796 POSTS
You are welcome.

Always glad to help.

Roy
Was this
answer
helpful?
Yes
No
+1
Saturday, July 17th, 2021 AT 7:42 PM
Tiny
ADAMDRIVES
  • MEMBER
  • 21 POSTS
Just to keep you updated, I got the car scanned again with a OBD II Innova 5300LaT and the PO756 and PO789 error codes disappeared while the PO781 and P1336 came back again with the PO133 gone. The car only does the reverse slam once it heats up and doesn't hard shift in third gear. So weird.

Anyways, just letting you know what's going on so this thread could possibly help someone else out in the same situation.
Was this
answer
helpful?
Yes
No
Sunday, July 18th, 2021 AT 12:18 PM
Tiny
ASEMASTER6371
  • MECHANIC
  • 52,796 POSTS
Okay, they will be back. When you clear the codes, all that does is make the ECM forget the codes. Without repairs, they will be back.

1336 is the key once again with the crank relearn. I attached the flow chart for 1336.

Roy
Was this
answer
helpful?
Yes
No
+1
Sunday, July 18th, 2021 AT 1:18 PM
Tiny
ADAMDRIVES
  • MEMBER
  • 21 POSTS
Yeah, you are right that's why I'm going to take it to the dealership tomorrow, they have all the software these shops don't have. Everyone is saying you are right and I'm going to have them perform the crankshaft relearn. And they don't have the machinery GM has. I will keep you posted.
Was this
answer
helpful?
Yes
No
Sunday, July 18th, 2021 AT 1:33 PM
Tiny
ASEMASTER6371
  • MECHANIC
  • 52,796 POSTS
Sounds good.

Keep me updated.

Roy
Was this
answer
helpful?
Yes
No
+1
Sunday, July 18th, 2021 AT 2:15 PM
Tiny
ADAMDRIVES
  • MEMBER
  • 21 POSTS
So I took it to the dealer and they successfully passed the crankshaft relearn. You were right all along. The dealer went through the flowchart and determined the white wire B4 is the one that is causing an open circuit short to the solenoid. He even had the same diagram you gave me too! He circled on the diagram where to replace it on the transmission wiring harness.
Was this
answer
helpful?
Yes
No
Monday, July 19th, 2021 AT 8:16 AM
Tiny
ASEMASTER6371
  • MECHANIC
  • 52,796 POSTS
Nice. Glad to hear it.

Once you replace that, hopefully, everything will return to normal.

Roy
Was this
answer
helpful?
Yes
No
+1
Monday, July 19th, 2021 AT 8:25 AM
Tiny
ADAMDRIVES
  • MEMBER
  • 21 POSTS
Hello, I had a few questions, means a lot. So I asked around and the auto shops are too busy or are too scared to work on the car lol. I am debating if I should do it on my own here. On the white B4 transaxle wire, it runs from the wiring harness on the valve body all the way underneath the fuse box?

I also saw on the diagram you gave me and saw that it had a.5 on it which has led me to determine that it is 20 gage wire, hope I'm right. I am planning on cutting the wire from the harness and at the end of the fuse box and then crimping some automotive wire from a hardware store to it (or from a pick apart) and putting the heat gun on it. I found this out from an old GM guide and am hoping I can do this. Is there a way to find the exact wire from the end of the fuse box? It looks a bit tricky since it connects to the fuse box as Circuit 1523.

Much appreciated.
Was this
answer
helpful?
Yes
No
Monday, July 19th, 2021 AT 1:48 PM
Tiny
ASEMASTER6371
  • MECHANIC
  • 52,796 POSTS
It is an 18 gauge wire. Not a 20. You need to solder and shrink wrap for the repair.

Roy
Was this
answer
helpful?
Yes
No
+1
Monday, July 19th, 2021 AT 4:33 PM
Tiny
ADAMDRIVES
  • MEMBER
  • 21 POSTS
So, I had an auto shop repair the wire and the check engine light came back on and there was no improvement. Had the codes cleared by the dealer too when I had it do the relearn procedure. Just keeping you updated.
Was this
answer
helpful?
Yes
No
Thursday, July 29th, 2021 AT 12:51 PM
Tiny
ASEMASTER6371
  • MECHANIC
  • 52,796 POSTS
Okay, did anyone verify power through that wire to confirm the repair?

Roy
Was this
answer
helpful?
Yes
No
Thursday, July 29th, 2021 AT 1:26 PM

Please login or register to post a reply.