Transmission makes a loud clunk when shifting from reverse or drive?

Tiny
ARRAN CRUMP
  • MEMBER
  • 2017 DODGE DURANGO
  • 76,098 MILES
I drive the vehicle listed above r/t 5.7 liter awd. When shifting from reverse or drive I hear a loud clunk.
Monday, August 15th, 2022 AT 6:17 AM

1 Reply

Tiny
KEN L
  • MASTER CERTIFIED MECHANIC
  • 55,474 POSTS
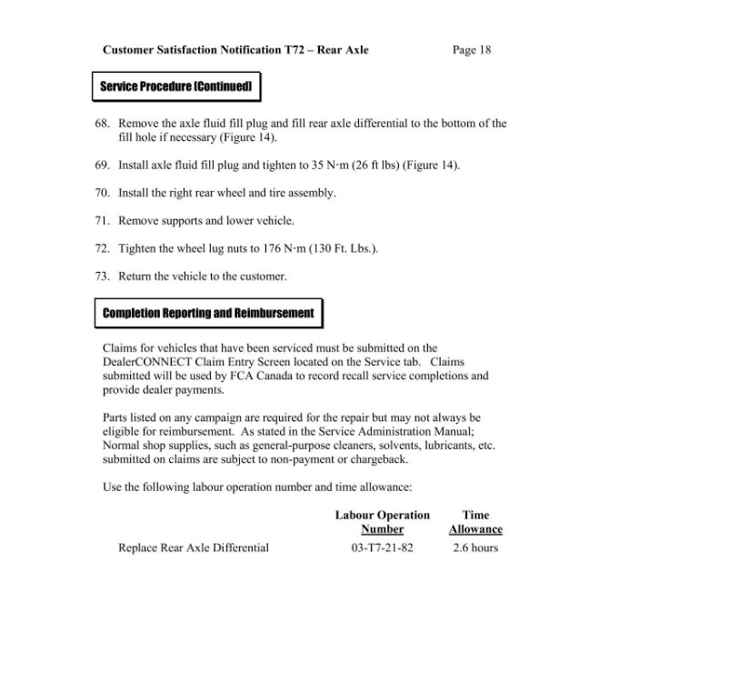
We are going to locate the origin of the noise, front, back or middle of the vehicle. The unusual suspects are the driveshaft, rear differential or transfer case. There is a 19 page TSB that shows they had a problem with the rear differential and the bushing that mount the differential which I have found and are in the images below. Check out the diagrams (below). Let us know what happens and please upload pictures or videos of the problem.
Was this
answer
helpful?
Yes
No
Monday, August 15th, 2022 AT 12:43 PM

Please login or register to post a reply.