2004 Impala TRANSMISSION HARD SHIFTS

Tiny
JBM2005
  • MEMBER
  • 2004 CHEVROLET IMPALA
It has begun to have a noticeable hard shift between 10-15 mph. Occasionally at 25mph. This doesn't happen all the time. It almost seems random.I took it to a trans shop and they came up with the scan code p1811 (max adapt long shifts). The code was cleared, the car road-tested and it ran great for 2 months. It has started to hard shift again. What does this code mean?How involved is the repair?Is the only solution a new transmission? I would greatly appreciated any info.
Wednesday, March 14th, 2007 AT 6:12 PM

1 Reply

Tiny
ASEMASTER6371
  • MECHANIC
  • 52,796 POSTS
Good afternoon

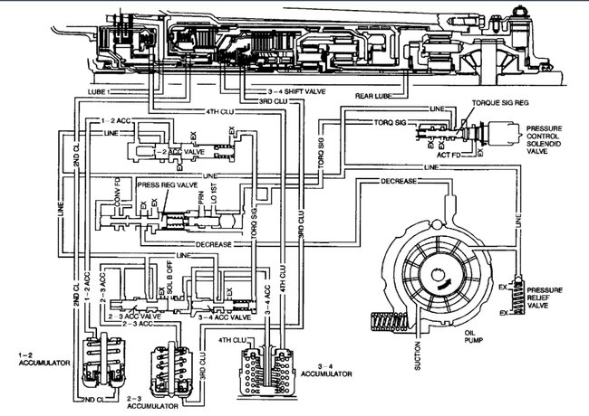
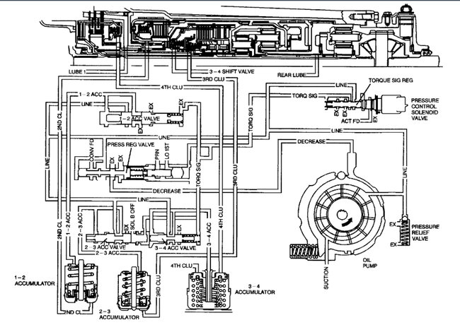
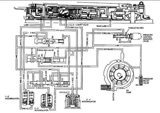
I attached the description and the flow chart below for you.

It does not mean a new transmission. I have seen where the accumulator spring breaks causing this issue. You need a shop to do a proper diagnostic following the proper steps.

https://www.2carpros.com/articles/automatic-transmission-problems

Roy

DTC P1811

Circuit Description
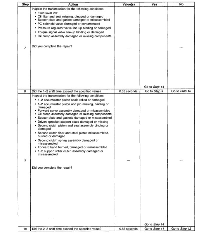
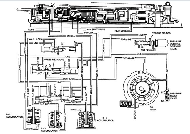
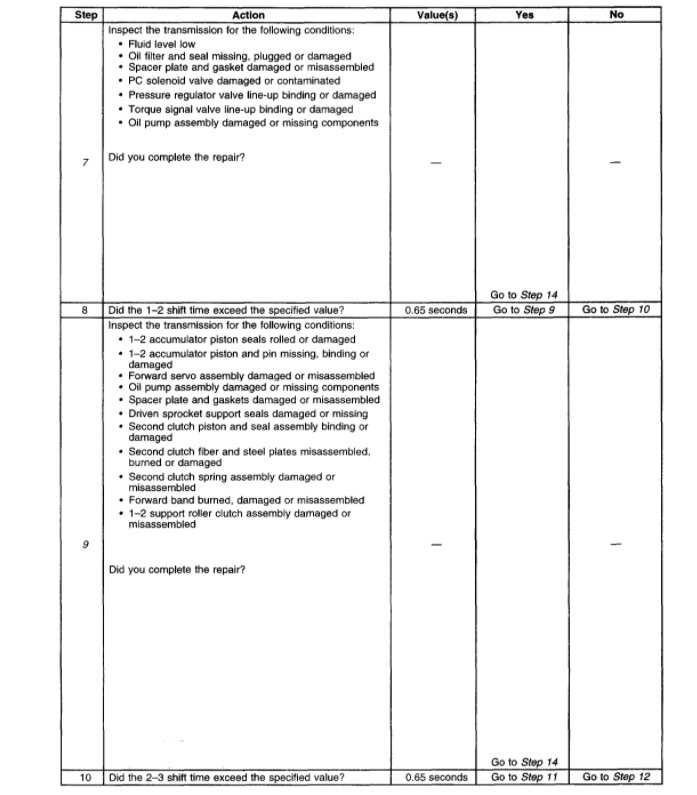
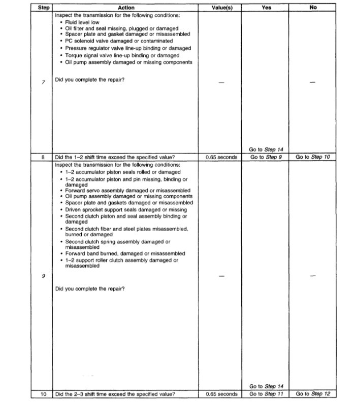
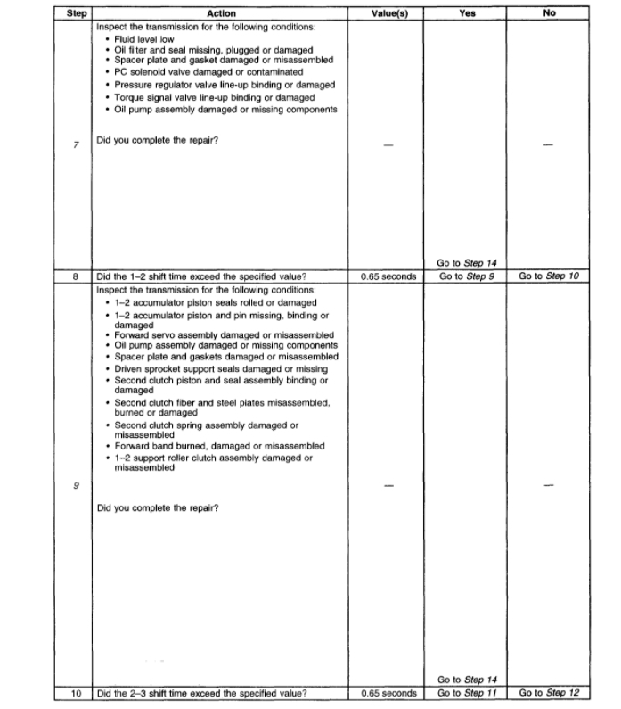
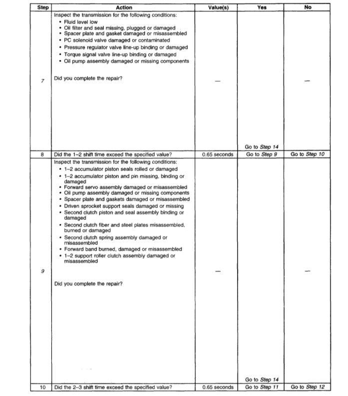
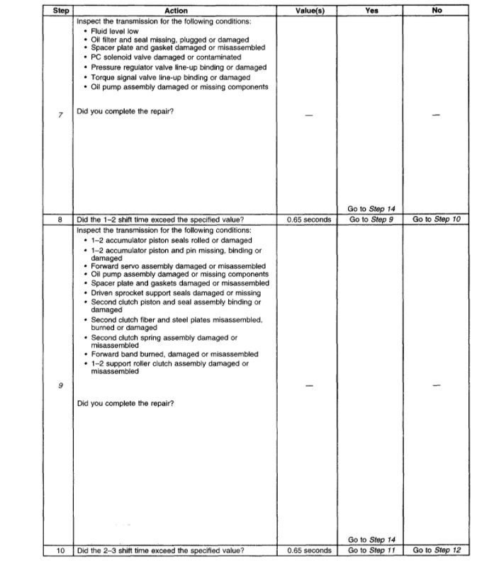
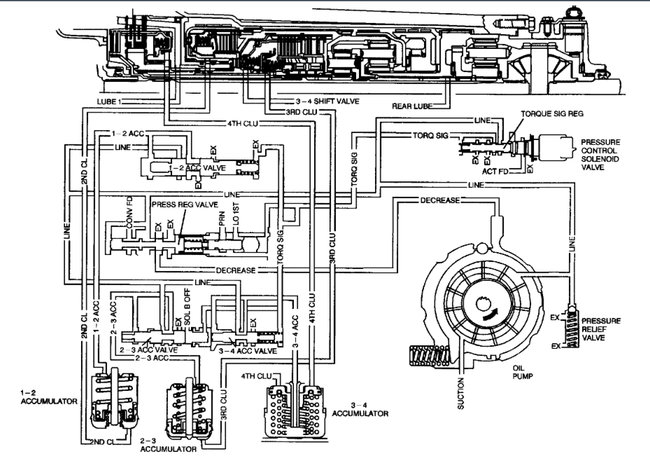
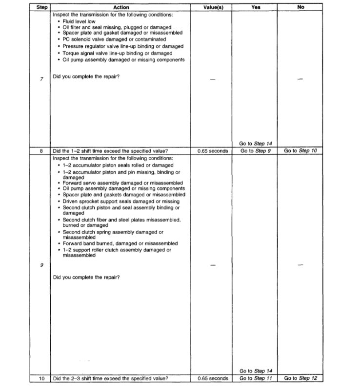
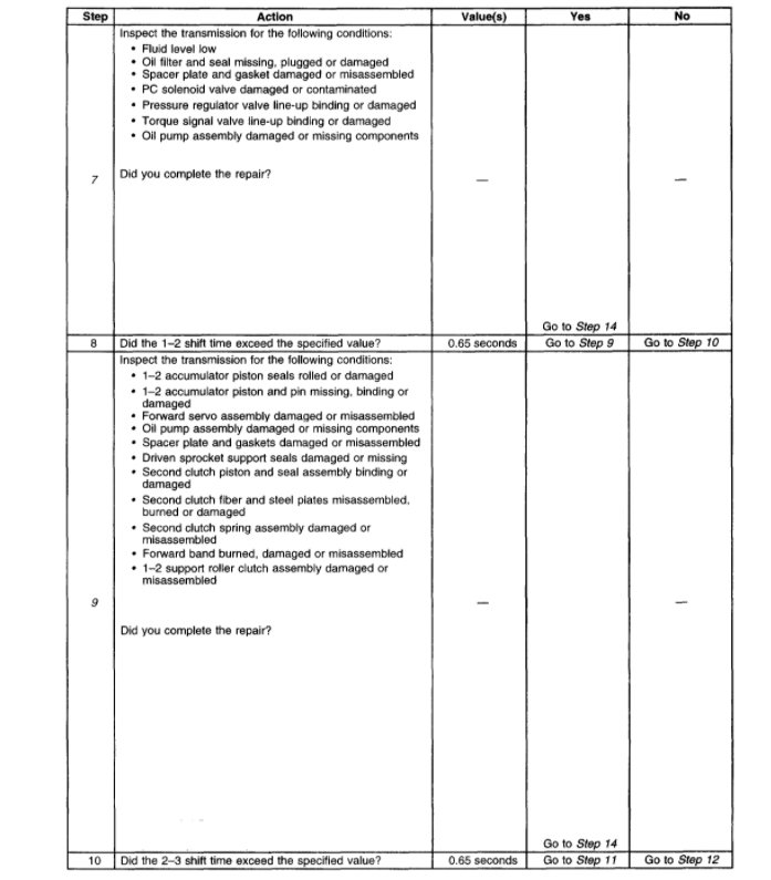
The transmission pressure is modified by an adaptive modifier which controls the shift execution time. This diagnostic tests the time required to accomplish the shift. If the shift takes longer than 0.65 seconds and the adaptive modifier cannot shorten this time, then a counter increases by one.

If the PCM detects a counter value of 2 during one trip, then DTC P1811 sets. DTC P1811is a type C DTC.

Conditions for Running the DTC
The shift is adaptable.
The 1-2, the 2-3 or the 3-4 shift adapt cell has reached its limit.

Conditions for Setting the DTC
The 1-2, 2-3 or 30 shift is longer than 0.65 seconds, twice in one trip.

Action Taken When the DTC Sets
The PCM does not illuminate the Malfunction Indicator Lamp (MIL).
The PCM commands maximum line pressure.
The PCM freezes transmission adaptive functions.
The PCM records the operating conditions when the Conditions for Setting the DTC are met. The PCM stores this information as Failure Records.
The PCM stores DTC P1811 in PCM history.

Conditions for Clearing the DTC
A scan tool can clear the DTC.
The PCM clears the DTC from PCM history if the vehicle completes 40 warm-up cycles without a non-emission-related diagnostic fault occurring.
The PCM cancels the DTC default actions when the ignition switch is OFF long enough in order to power down the PCM.

Diagnostic Aids
Ask the customer about possible overloading, exceeding the trailer towing limit, or towing in overdrive.
Ensure that the current PCM calibration is correct for the final drive ratio.

Test Description
The numbers below refer to the step numbers on the diagnostic table.
7. This step inspects components that may cause low line pressure.
9. This step inspects or repairs components that may cause a maximum adapt and long 1-2 upshift.
11. This step inspects or repairs components that may cause a maximum adapt and long.
13. This step inspects or repairs components that may cause a maximum adapt and long 3-4 upshift.
Was this
answer
helpful?
Yes
No
Wednesday, March 17th, 2021 AT 4:24 PM

Please login or register to post a reply.