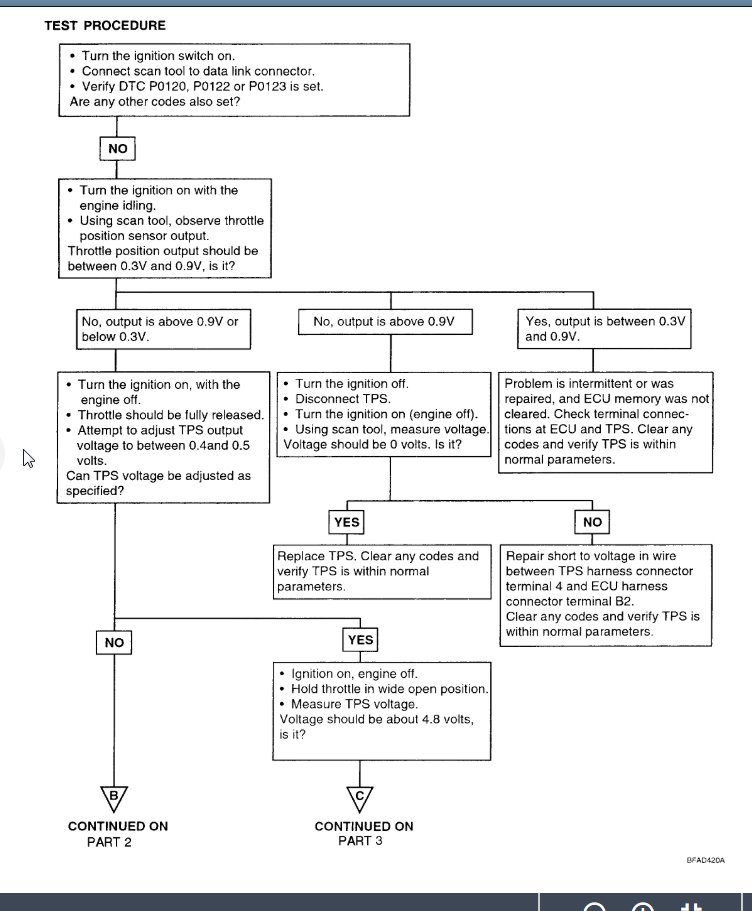
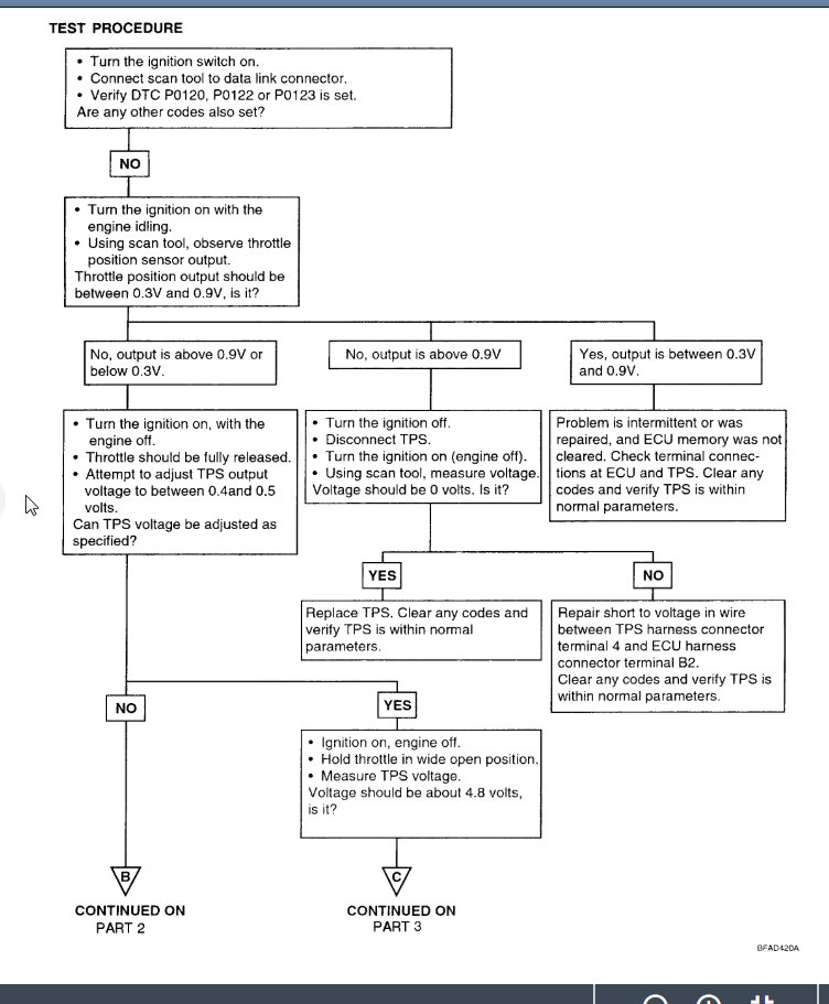
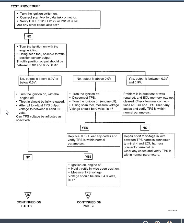
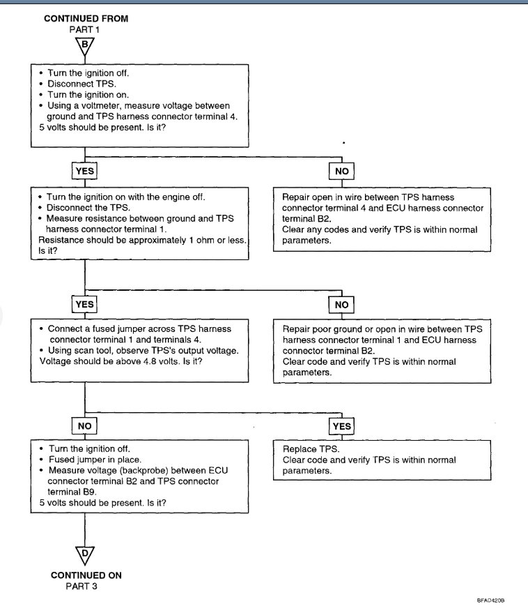
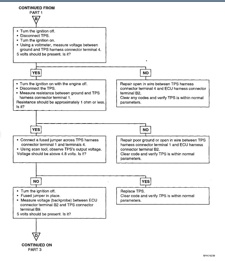
Saturday, November 16th, 2019 AT 12:58 PM
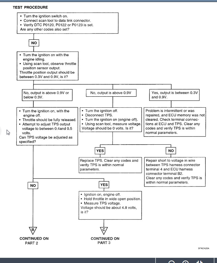
I got it to start back up two times but had to to hold accelerator to floor to keep running. Then engine shut off after starting back up second time and cranks but won't start. I had a code reader hooked to it to check for error codes all that came up was throttle positioning sensor. So I put new one on it and still won't start cranks but won't start. Do I need to reset or reprogram throttle positioning sensor?











