Transmission code P0753

Tiny
BCMULLEN95
  • MEMBER
  • 1998 HONDA CIVIC
  • 1.8L
  • 4 CYL
  • 2WD
  • AUTOMATIC
  • 151,000 MILES
I replaced the transmission with a used one and now it is throwing the P0753. I am at a loss as to why. The car seems to drive fine.
Wednesday, March 19th, 2014 AT 6:03 PM

10 Replies

Tiny
CADIEMAN
  • MECHANIC
  • 3,544 POSTS
You will need to have shift solenoid a checked and replaced if needed.
Was this
answer
helpful?
Yes
No
-1
Wednesday, March 19th, 2014 AT 6:49 PM
Tiny
BCMULLEN95
  • MEMBER
  • 249 POSTS
I am using the solenoid off of the old transmission. Is there a way I can test it? Is there a possibility of the valve body being bad? The reason for the swap was the old transmission was slipping, but nothing else was wrong with it.
Was this
answer
helpful?
Yes
No
Wednesday, March 19th, 2014 AT 6:55 PM
Tiny
CADIEMAN
  • MECHANIC
  • 3,544 POSTS
You will need to install a good transmission.
Was this
answer
helpful?
Yes
No
-1
Wednesday, March 19th, 2014 AT 7:50 PM
Tiny
BCMULLEN95
  • MEMBER
  • 249 POSTS
I am asking for some diagnostic assistance please. I don't have extra money floating around and would like to know what I can do to help resolve my problem. I found a test procedure for the solenoid, The OHMS are at 13.6 and I can hear a click when I apply 12V power to the solenoid. What else could it be? Could it be a bad valve body? To the best of my knowledge the transmission I got was good.
Was this
answer
helpful?
Yes
No
Wednesday, March 19th, 2014 AT 8:30 PM
Tiny
CADIEMAN
  • MECHANIC
  • 3,544 POSTS
I'm sorry due to the age of the part it either works or it is bad and u said u hear it trying to engauge u will need to replace the tcc seliniold to clear the code or it will never engauge.
Was this
answer
helpful?
Yes
No
-1
Thursday, March 20th, 2014 AT 6:08 PM
Tiny
BCMULLEN95
  • MEMBER
  • 249 POSTS
Will be looking for that part and cross my fingers it works, however in case it doesn't resolve my issue could you get me the information to test the wiring harness/ harnesses? I think this car has had this problem before I replaced the transmission. Thanks
Was this
answer
helpful?
Yes
No
-1
Friday, March 28th, 2014 AT 6:09 PM
Tiny
CADIEMAN
  • MECHANIC
  • 3,544 POSTS
Info is at troubleshootmyvehicle. Com good luck bro. Craig
Was this
answer
helpful?
Yes
No
Friday, March 28th, 2014 AT 8:29 PM
Tiny
BCMULLEN95
  • MEMBER
  • 249 POSTS
Thanks for that info, I also need the electrical scamatics for the PCM and the electrical wireharness to see if there is a shirt to ground or something else.
Thanks
Was this
answer
helpful?
Yes
No
+1
Sunday, March 30th, 2014 AT 12:09 PM
Tiny
BCMULLEN95
  • MEMBER
  • 249 POSTS
Here is a link for the information I am looking for, but I need it specifically for a 98 honda civic LX 1.6 liter 2wd.
https://www.2carpros.com/questions/honda-civic-2001-honda-civic-transmission-code-p1735-with-blinking-d
Thanks
Was this
answer
helpful?
Yes
No
Sunday, March 30th, 2014 AT 12:24 PM
Tiny
JACOBANDNICKOLAS
  • MECHANIC
  • 110,194 POSTS
Hi,

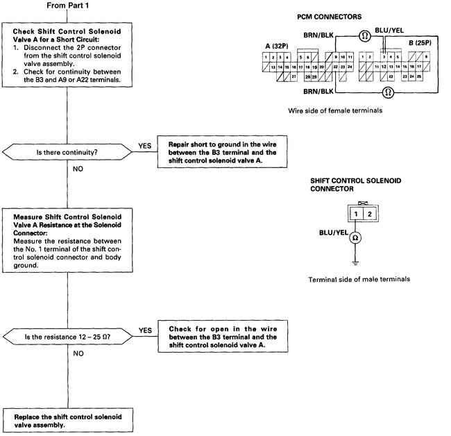
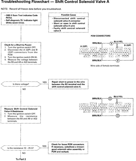
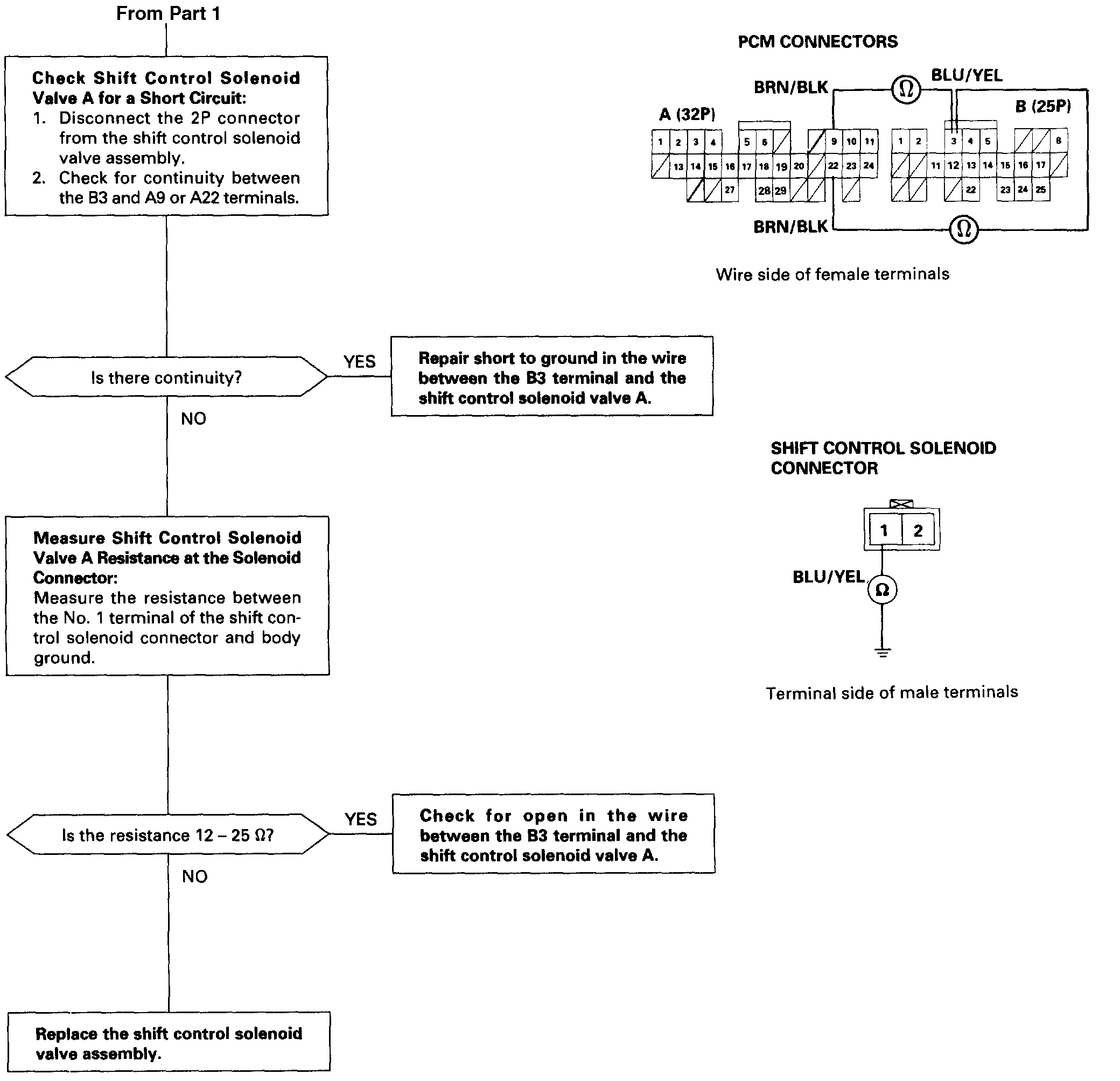
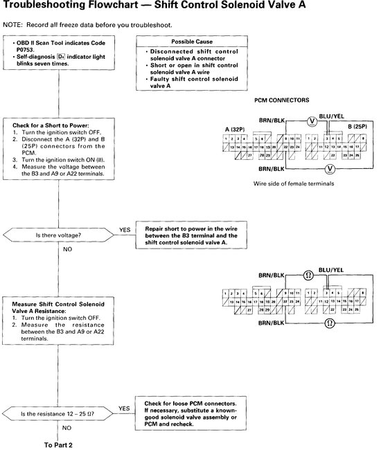
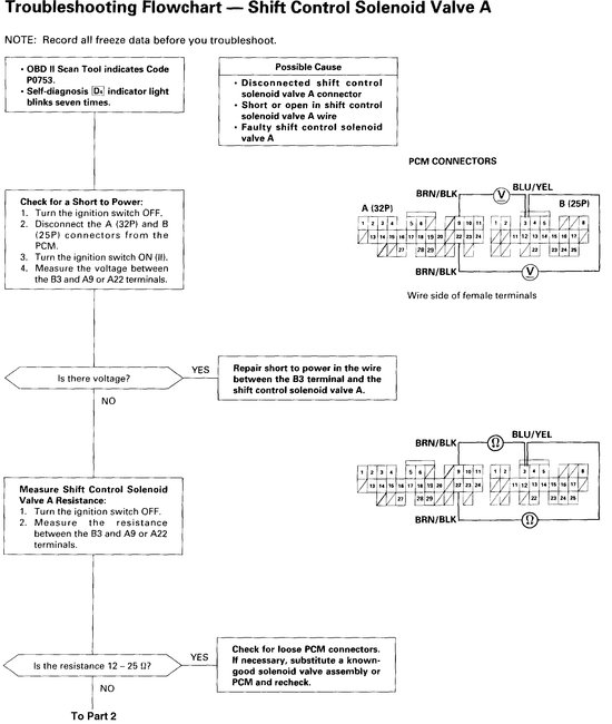
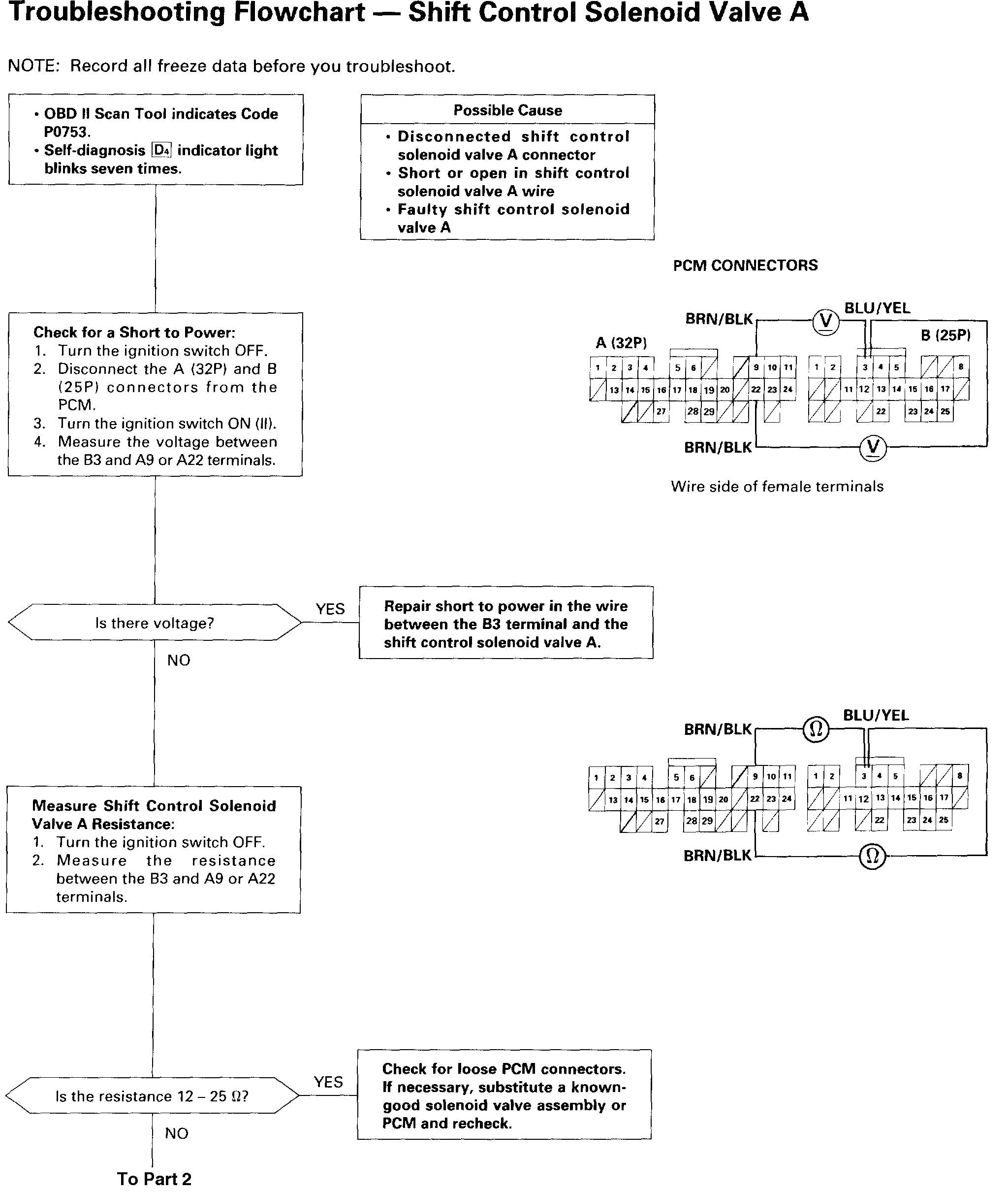
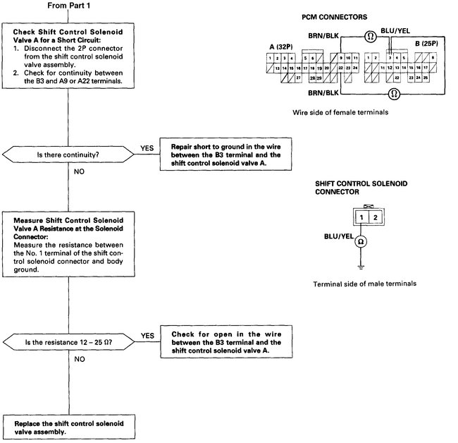
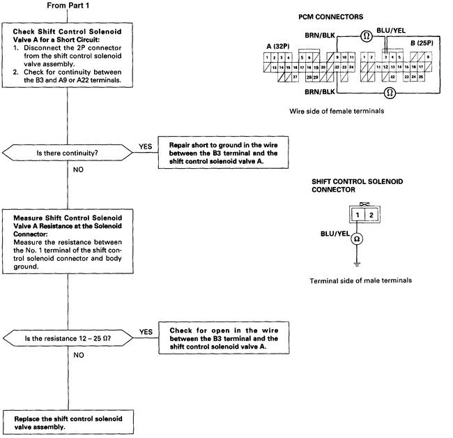
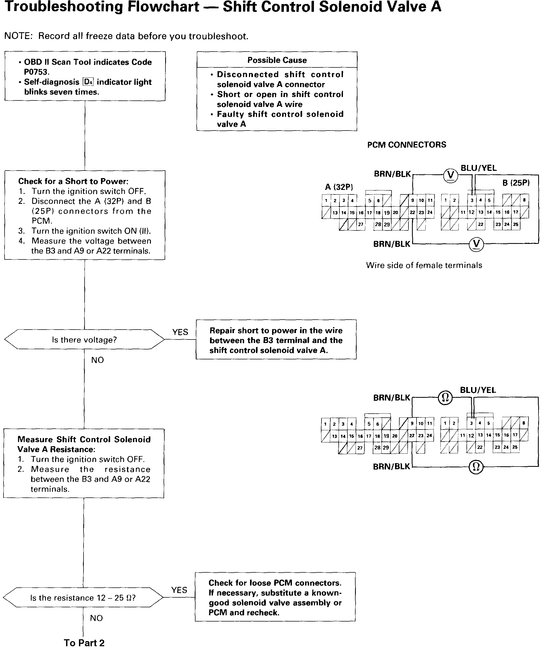
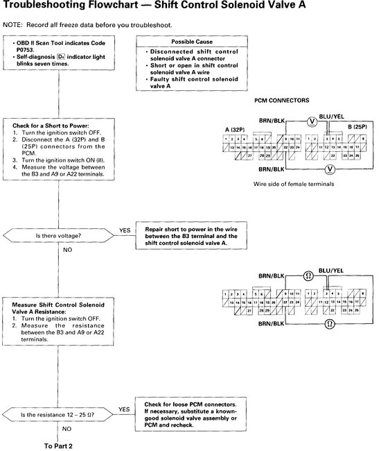
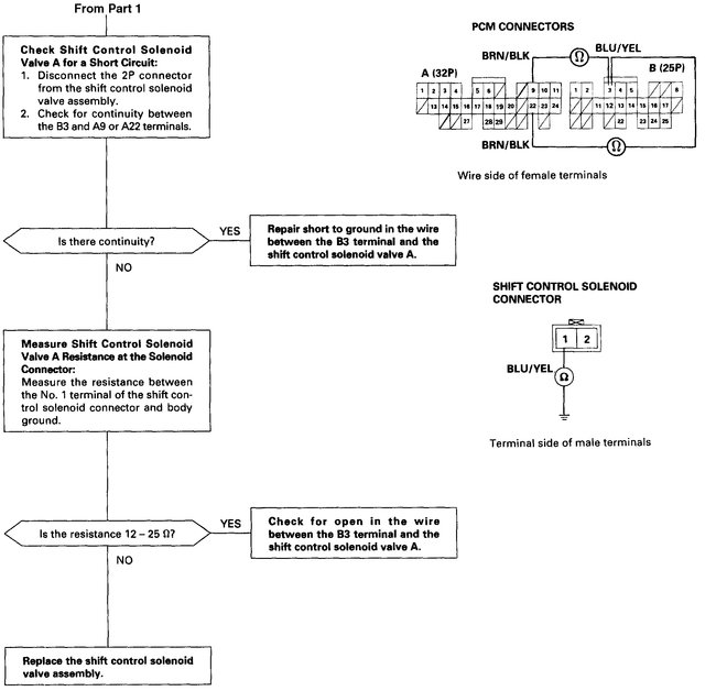
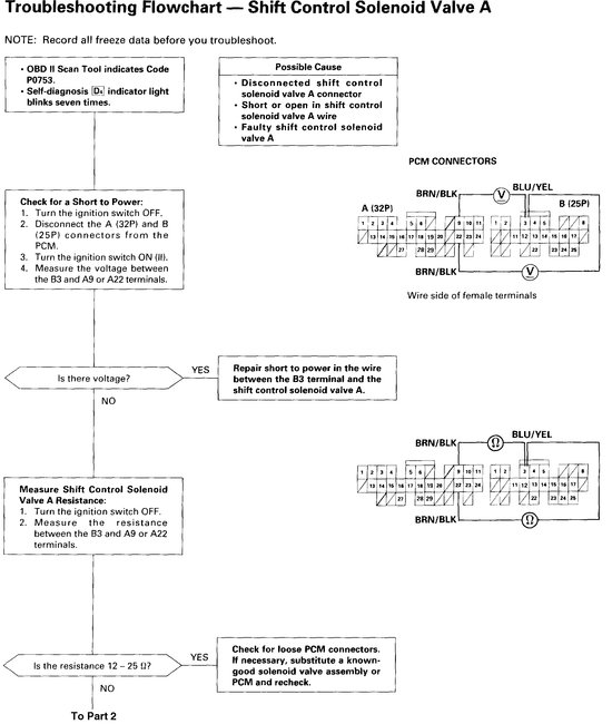
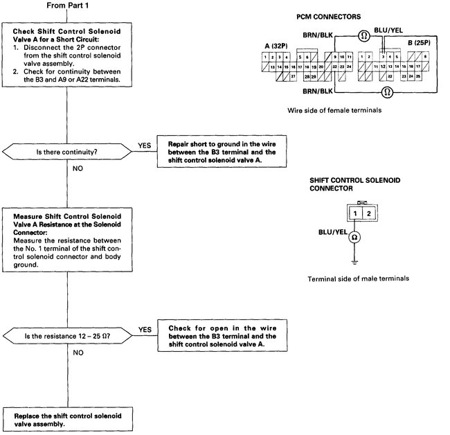
The code, P0753, deals specifically with the shift control A solenoid in the transmission. There are a few things that can cause it to set this code. It could be the solenoid is disconnected, a damaged wire causing an open circuit in the wiring, or the solenoid itself is bad. Also, based on the code you provided, I don't believe it has anything to do with the valve body.

I have attached two pictures below. They are diagnostic flow charts related to this circuit and to this issue. Take a look through them. You will need to start with number 1 and go step by step. By doing this, it should lead you to the problem.

Here are a few links you may find helpful when you test:

https://www.2carpros.com/articles/how-to-use-a-test-light-circuit-tester

https://www.2carpros.com/articles/how-to-use-a-voltmeter

https://www.2carpros.com/articles/how-to-check-wiring

Keep in mind, since you just replaced the transmission, there is a good chance it is simply a poor connection at one of the wiring harnesses. Make sure no pins are damaged in the plugs as well as the plugs are tight. Also, make sure no wires were accidentally pinched when the trans was installed.

I hope this helps. Let me know what you find or if you have other questions.

Take care,
Joe
Was this
answer
helpful?
Yes
No
Friday, April 3rd, 2020 AT 7:10 PM

Please login or register to post a reply.