Loss of power, irregular missing

Tiny
TERMAXCO
  • MEMBER
  • 1993 TOYOTA PICKUP
  • 4 CYL
  • 2WD
  • MANUAL
  • 250,000 MILES
22RE engine ---
The engine on my pickup started a bad loss of power irregular missing at any steady engine rpm's, including idle, and it stops missing on any acceleration. I advanced the distributor as far as it would go and the missing stopped and engine ran fine. Plugs and plug wires are new and okay.
I am assuming its the timing chain but would like to know any other possible causes to check for first. Thanks for your help.

(I have not taken valve cover off yet to see if I can tell anything about the timing chain. Bought truck used recently so assuming the faulty plastic timing chains guides have been replaced by now.)
Thank you
Saturday, October 24th, 2020 AT 3:24 PM

32 Replies

Tiny
TERMAXCO
  • MEMBER
  • 54 POSTS
Also in addition FYI: I do not hear any chain slapping or noise under valve cover). Also Initially replaced TPS but no disconnect or adjustment of it made any changes at all?
Was this
answer
helpful?
Yes
No
Sunday, October 25th, 2020 AT 11:30 AM
Tiny
JACOBANDNICKOLAS
  • MECHANIC
  • 110,194 POSTS
Hi,

It could be a few things. For example, a partially plugged catalytic converter, an engine vacuum leak, fuel pressure, and so on can cause these types of symptoms.

Do me a favor. before we guessing, scan the computer for diagnostic trouble codes. This vehicle has an OBD1 system and doesn't require a scan tool to get codes. Hopefully, that will point us in the right direction.

Here is a link that explains how it's done:

https://www.2carpros.com/articles/toyota-trouble-code-definitions-and-code-gathering-method-1990-1995

Let me know what you find and I'll look things up from that point.

Take care,
Joe
Was this
answer
helpful?
Yes
No
Sunday, October 25th, 2020 AT 5:35 PM
Tiny
TERMAXCO
  • MEMBER
  • 54 POSTS
Thanks, will check the codes and get back to you. So, does the fact that when we move the distributor it solves the problem and engine runs fine, not implicate the timing chain or anything particular?
Was this
answer
helpful?
Yes
No
-1
Monday, October 26th, 2020 AT 9:21 AM
Tiny
JACOBANDNICKOLAS
  • MECHANIC
  • 110,194 POSTS
Hi,

It could. I'm not sure if you are advancing or retarding the ignition timing. However, if the chain jumped, it wouldn't matter moving the distributor. If it is stretched, you may notice some differences. But keep in mind, when the chain is stretched or jumped, the camshaft and crankshaft are not working together properly.

Another thing that you could try is by removing an O2 sensor before the catalytic converter to see if it changes things. If the converter is plugged, the added release point will be noticeable.

As far as the timing, here is where it should be.

Ignition Timing 10 +/- 2 degrees BTDC

__________________________________

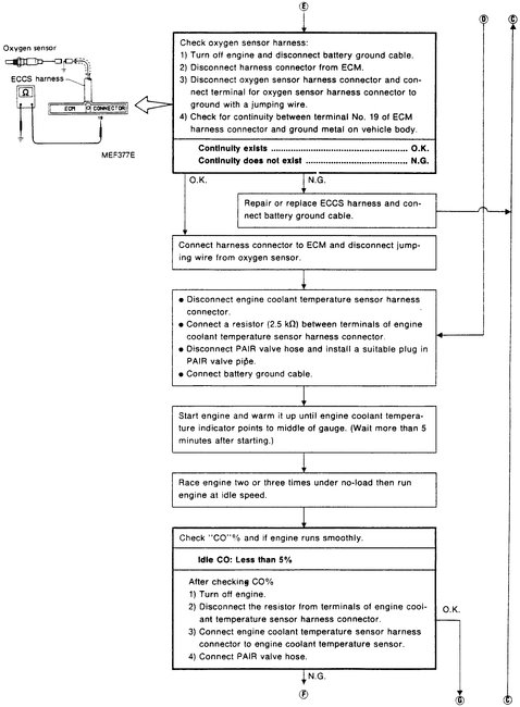
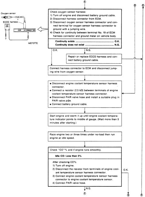
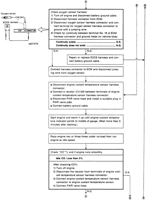
Here is a little more information that may help. The attached pics correlate with the directions. It deals with timing, idle speed, and air fuel ratio adjustment.

__________________________________

1993 Nissan-Datsun Truck D21 Hardbody 2WD L4-2389cc 2.4L SOHC MFI (KA24E)
Idle Speed/Ignition Timing/Idle Mixture Ratio Adjustment
Vehicle Powertrain Management Ignition System Ignition Timing Adjustments Idle Speed/Ignition Timing/Idle Mixture Ratio Adjustment
IDLE SPEED/IGNITION TIMING/IDLE MIXTURE RATIO ADJUSTMENT
IMPORTANT NOTES
- All adjustments must be correct to insure proper operation of the engine control system.
- The air fuel mixture is not adjustable.
- Base idle speed is adjustable.
- Closed loop idle speed is not adjustable.
- Base ignition timing is adjustable.
- Closed loop ignition timing is not adjustable.

PREPARATION
1. Make sure the following parts are in good order:
- Battery
- Ignition System
- Engine oil and coolant level
- Fuses
- ECM harness connector
- Vacuum hoses
- Air intake system (Oil filler cap, oil level gauge, etc.)
- Fuel pressure
- Engine compression
- EGR operation
- Throttle valve
2. On A/C equipped models, checks should be carried out with the system OFF.
3. On A/T equipped models, checks should be done with the transaxle in NEUTRAL.
4. When measuring "CO) percentage, insert probe more than 40 Cm (15.7 in) into tailpipe.
5. Turn off headlamps, heater blower, and rear defogger.
6. Keep front wheels pointed straight ahead.
7. Make the inspection after the radiator fan has stopped.

INSPECTION AND ADJUSTMENT PROCEDURE

Idle Speed/Ignition Timing/Idle Mixture Ratio Inspection (1 Of 4)

pic 1

CHART 1

Idle Speed/Ignition Timing/Idle Mixture Ratio Inspection (2 Of 4)

pic 2

CHART 2

Idle Speed/Ignition Timing/Idle Mixture Ratio Inspection (3 Of 4)

pic 3

CHART 3

Idle Speed/Ignition Timing/Idle Mixture Ratio Inspection (4 Of 4)

pic 4

CHART 4

- Follow the charts from top to bottom.
- Do not skip steps.
- Do not vary from chart direction.

___________________________

Let me know if this helps or if you have other questions.

Take care,
Joe
Was this
answer
helpful?
Yes
No
Monday, October 26th, 2020 AT 6:36 PM
Tiny
TERMAXCO
  • MEMBER
  • 54 POSTS
Thanks so much. You are so right. I did not stop to think that a timing chain would get the crank and cam out of sink for which a distributor move would not effect. We also now see that a replacement chain has been installed before son got it. (Silicone)
This is my son's Toyota truck so, not until this weekend did we both get to it. We checked the codes like you suggested and it was code 41 - "throttle position circuit fault".

We checked that we had retarded, not advanced, the timing when we moved the distributor to fix.
So, we did this again - all the distributor would allow - and it started running good again except minor interim cut outs at all RPM's (almost unnoticeable). It's like, if the dist. Would allow more retarding, the truck would run perfect - it's very close now.
So, we checked the timing with a light with distributor in original and max retarded position. Could not get a good read. It was jumping all over the place from way too advanced to less advanced back and forth at constant idle. (No tachometer so, we checked it at all idles and with and without the advance terminals shorted)

A complication however, is we had already replaced the throttle position sensor first thing and so we might have caused the 41 code problem ourselves (we have not understood yet how to adjust it so we adjusted it all all points and also disconnected it with no changes at all in engine - that dist. Retard fixes). We ran an ohm test on the old one (had to tear it up ) and it appeared to be working on all points IF we figured out how it works.
So, I guess the old TPS could have been bad and the new one is not adjusted so same problem from both? Or, separate original problem and now a new TPS problem we created? Does the codes check just give you one worst problem?

After the 41 code, we did not check any thing else out yet, and we just retarded the distributor again and are thinking to just run it that way to buy some time since, we figured retarding the timing would not burn any pistons etc? (Still jumping and too advanced as best we can check) We read an out of adjustment TPS would prevent setting the timing?
We did read that the factory ECU for these years was bad and would suddenly start advancing the timing too much. And that, retarding the dist. Would fix it 50% of the time?
My son said the loss of power/miss happened instantly all at once.
We still take out 02 sensor to check for catalytic converted clogging real quick if you think its still a possible problem.
Hope this helps you help us. Thanks again.
Was this
answer
helpful?
Yes
No
Monday, November 2nd, 2020 AT 7:33 AM
Tiny
JACOBANDNICKOLAS
  • MECHANIC
  • 110,194 POSTS
Hi,

if the timing is over advanced, you will hear valve ping under a load. As far as having it retarded, that will cause a loss of power.

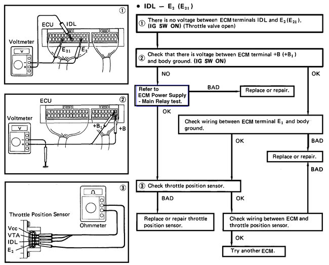
Do me a favor, Take a look through these diagnostics. They explain what to check when it comes to a 41 (TPS) issue.

___________________________

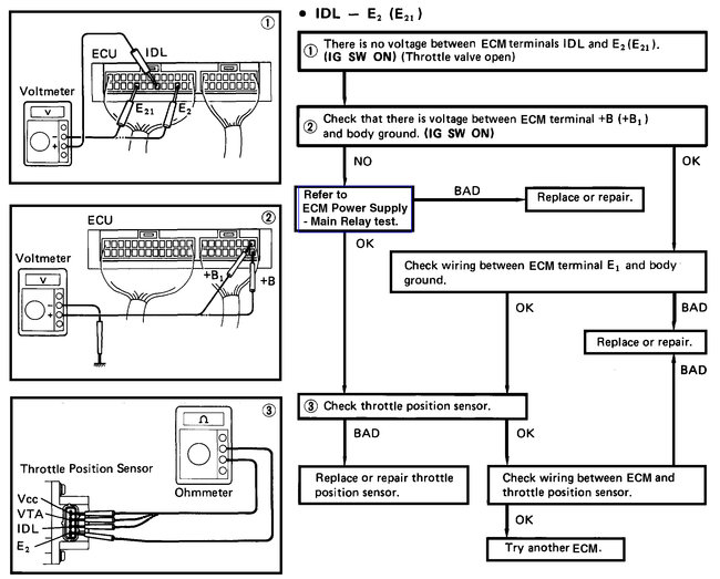
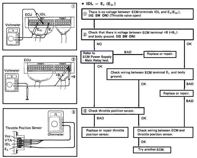
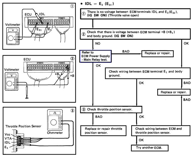
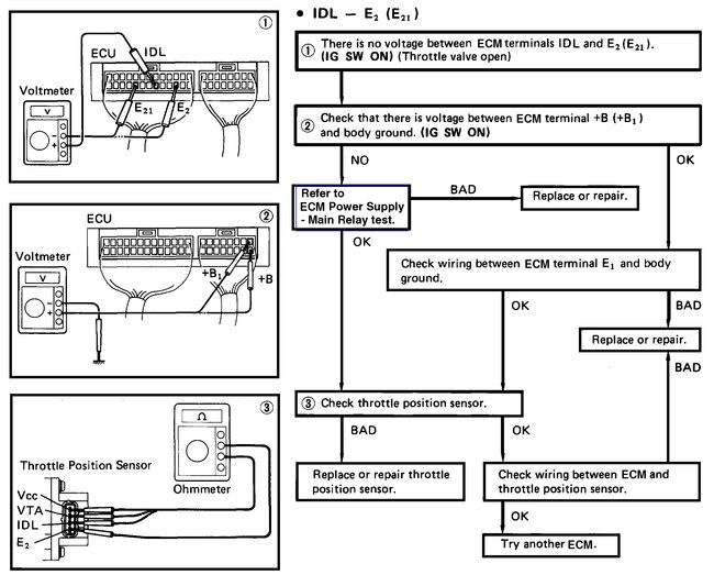
1993 Toyota Truck Pickup 2WD L4-144.4 2366cc 2.4L SOHC (22R-E)
Chart 2
Vehicle Powertrain Management Computers and Control Systems Testing and Inspection Component Tests and General Diagnostics Circuit Test Charts (For Trouble Code Diagnosis) Chart 2
CHART 2
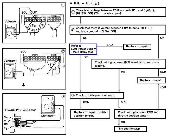
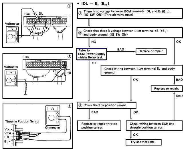
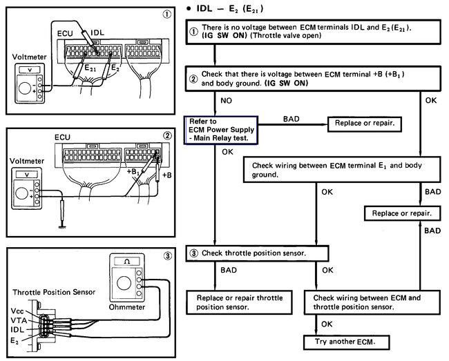
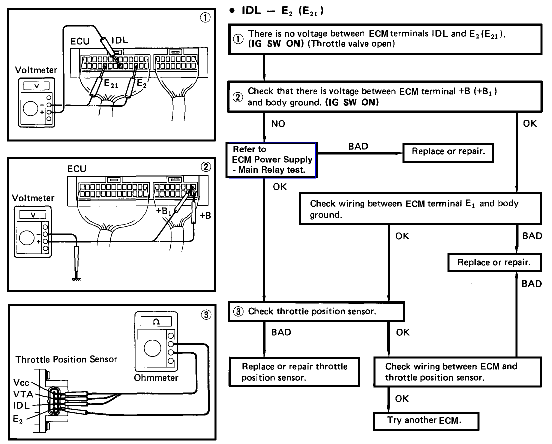
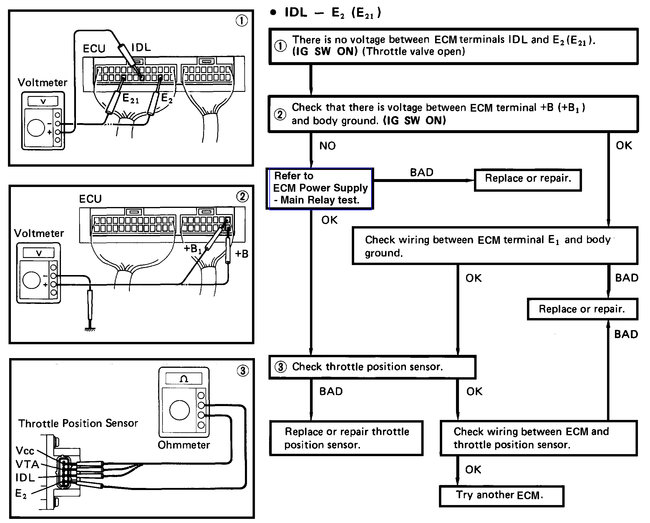
# 2. Throttle Position Sensor

# 2. Throttle Position Sensor (IDL - E2 [E21])

pic 1

Throttle Position Sensor (IDL - E2 [E21])

# 2. Throttle Position Sensor (Vcc - E2 [E21])

pic 2

Throttle Position Sensor (Vcc - E2 [E21])

# 2. Throttle Position Sensor (VTA - E2 [E21)

pic 3

Throttle Position Sensor (VTA - E2 [E21])

# 2. Throttle Position Sensor

pic 4

Wiring Diagram / Condition

___________________

Let me know.

Joe
Was this
answer
helpful?
Yes
No
Monday, November 2nd, 2020 AT 6:30 PM
Tiny
TERMAXCO
  • MEMBER
  • 54 POSTS
Hi,

RE: Son's 1993 Toyota truck 22RE 4cyl 2.4L engine that you are helping us on.

Sorry for delay, son is just now getting truck to me and I'm just now getting to it.

Background refresh: Truck starts and runs. Runs perfectly good on acceleration, but anytime the throttle and RPM's are kept steady, at any rpm including idle, it loses power and randomly misses and cuts out like crazy. Son said it started happening all at once. We retarded the distributor as far as it would go and it fixed the miss and it ran fine (except for a very slight single miss now and then) for a couple of weeks then it started missing the same with new dist. Position. Could not get a good read on timing light. Way advanced and jumping around (son says he hears a pinging but I do not).
Son had already put on new TPS and nothing changed. We do not know how to adjust it. But it did not change anything with TPS at all adjustments and even with its wires disconnected - nothing changed. We took the old TPS apart and it looked OK and continuity checked out on all points so I think it was working.
I checked the codes like you said and it came up TPS circuit fault - code 41. You then suggested the following checks per pics below.

I guess I'm in over my head: Per your pics I took wires off ECU and stuck multimeter probes into the wire terminals per pics with key on and throttle open on the one required. (Pics show the terminals on the bottom row (except for the 2 B's) when hooked up so when remove and turn over terminals from ECU to then face me to get to them, they become the visible top row - right?) For 'body' ground when called for I scraped off the paint on body for good ground on car body.
And I checked all the things from the pics below that you sent and I got no volts or anything from any of them. (It looked like my probes were making contact in the female terminal holes). Checked my multimeter and it did show 12 volts straight from battery so, its working. I must expect the new TPS is good but I got no ohms from TPS ( I did not have anyone yet to move the throttle for me but I expect to get nothing).

As said, looks like I'm in over my head; surely I should have gotten some kind of volt reading on something? I noticed the pics said try the ECU power supply main relay test maybe? But need to know how on that.

Can anything else not working result in TPS circuit fault code?

Thanks for all your help.
Was this
answer
helpful?
Yes
No
Monday, November 16th, 2020 AT 11:30 AM
Tiny
JACOBANDNICKOLAS
  • MECHANIC
  • 110,194 POSTS
Hi,

Good to hear from you. I don't think you are over your head. You are on the right track. As far as the no voltage, the throttle should be open. See if that chances anything.

As far as the ECM power control relay, here are the directions for testing it. I almost feel bad sending this simply because it is more testing, but this is the nature of the beast. Confirm there is power and let me know what you find.

_____________________________________

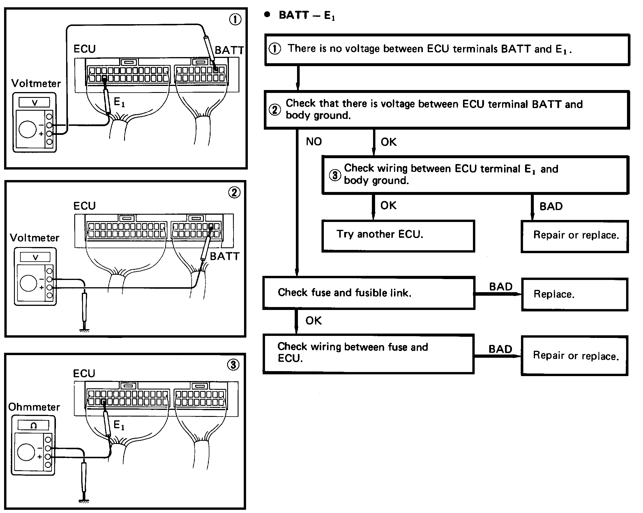
1993 Toyota Truck Pickup 2WD L4-144.4 2366cc 2.4L SOHC (22R-E)
# 1. ECU Power Supply
Vehicle Powertrain Management Relays and Modules - Powertrain Management Relays and Modules - Computers and Control Systems Engine Control Module Testing and Inspection Component Tests and General Diagnostics ECM Power Source Circuit 2 WD # 1. ECU Power Supply
# 1. ECU POWER SUPPLY
# 1. ECU Power Supply / Main Relay

# 1. ECU Power Supply / Main Relay (BATT - E1)

Pic 1

ECU Power Supply / Main Relay (BATT - E1)

# 1. ECU Power Supply / Main Relay (+B [+B1] - E1)

Pic 2

ECU Power Supply / Main Relay (+B [+B1] - E1)

# 1. ECU Power Supply / Main Relay

Pic 3

Wiring Diagram / Condition

________________________

Let me know what you find.

Joe
Was this
answer
helpful?
Yes
No
Monday, November 16th, 2020 AT 8:38 PM
Tiny
TERMAXCO
  • MEMBER
  • 54 POSTS
Still no change.
I checked per pics below (both with analog and digital) and I got no volts at all on anything (that is if I am getting the right ones and good connections in those tiny terminal ports (I'm shoving the probes in there?). But, it seems that if I'm getting no volts at all to ECU, then truck would not start or run at all?
So, then (from the black box on the inside fender well of the passenger side) I pulled the "EFI fuse" and it was good; and then, pulled the "EFI" relay and I got continuity between 2 of the poles (but not the other 2 red ones).
(the EFI relay came right out with a slight tug by pliers but when I put it back in and tried to get it out again, it would not come out and so the casing broke very easily. So, I was hoping maybe it was not in good first time so checked all again but still got no volts. How do these relays come out? I can't get it out now or see how they come out? Got to get a new one now.
Feeling pretty bad finding out I can't fix cars anymore - scary.

One more symptom if it helps any: When distributor is back in it's original position the truck seems to be getting worse and now does not want to start due to what sounds like a low struggling battery, but the battery is okay and it does not do it when the distributor is retarded. Something is struggling against itself overcoming the battery power. It also backfires when trying to start at original distributor position and the idle reduces. And the fact that it ran fine when the distributor retarded for a week or so and then started back with the milder symptoms as if retarding it some more would fix it again for a while (but dist. Will not retard any further due to limited slot). So, looking like whatever is wrong is something that can get worse? Still does not miss either way on acceleration.

PS: I will have to get out the torch to get the 02 sensor off (if still need to check on bypassing catalytic converter). Bolts rusted down, and on, and someone before us welded the exhaust system together, and on, so may be a while on that if I still need to check this.

PS, PS: I have a 1990 22RE Toyota truck. Will swapping parts with this 1993 help? Can an ECU be swapped?
Thanks again for hanging with me.
Was this
answer
helpful?
Yes
No
Tuesday, November 17th, 2020 AT 8:12 PM
Tiny
JACOBANDNICKOLAS
  • MECHANIC
  • 110,194 POSTS
Hi,

I read through everything. Is it possible for you to record it cranking so I can hear what the starter is doing? You indicated it is struggling against itself. That is usually a timing issue. I should be able to tell by hearing it.

Joe
Was this
answer
helpful?
Yes
No
Wednesday, November 18th, 2020 AT 8:15 PM
Tiny
TERMAXCO
  • MEMBER
  • 54 POSTS
Yes, I can make a recording of that with distributor. In original and also moved position. Will do ASAP.

Yes, I feel like its strictly a timing problem: I just have no clue as to what I call the "idiot" parts vs mechanical parts causing it, viz:

Yes, as the prob. Got worse, now the batt and starter drag and engine backfires a little during starting when the distributor is back in original position and does not drag or backfire when its retarded as far as it will go. And retarding the dist. All the way did fix it for a week and now only helps some. (So, its something that is getting worse). The timing light is jumping all over the place and cannot be set; and is way too advanced; Engine accelerates fine but problem is only when throttle is held steady incl. Idle. (PS: however, during acceleration without a miss, it still sounds like there is still a loss of actual power but under load truck seems to run fine on acceleration.)

We know the new’ TPS should be good; and we looked at the old one and it was fine. And, it makes no difference as to the problem at any TPS adjustment and even if it is disconnected The TPS is having no effect whatever on the engine or problem even if it is taken off. Problem occurs only when throttle is in steady “position” if that points to TPS? But, this type of miss is not usually mechanically’ normal.

So, I'm assuming TPS is not getting any power? But, how can 'no' power be anything that "gets worse"? I can imagine a timing chain as getting worse and tightening back up on acceleration but that does not make perfect sense either. I hear no slapping noise in chain. The chain has been replaced before we got truck as I see silicone on front of oil pan and no way a 22RE will last 250,000 miles without new timing chain guides.

I bypassed air flow meter and engine quit and no start (I guess that tells us nothing). I bypassed EGR and no change to problem. I haven’t got the 02 sensor off yet due to rust (going to have to cut it off).
Thank you!
Was this
answer
helpful?
Yes
No
Thursday, November 19th, 2020 AT 8:37 AM
Tiny
JACOBANDNICKOLAS
  • MECHANIC
  • 110,194 POSTS
Hi,

Hang in there. We'll figure it out. I would like to hear the engine cranking. If something is causing the timing to be out enough to change the cranking, I think we are going to need to check the timing chain.

Let me know.
Joe
Was this
answer
helpful?
Yes
No
+1
Thursday, November 19th, 2020 AT 6:26 PM
Tiny
TERMAXCO
  • MEMBER
  • 54 POSTS
THIS IS EMAIL I FORGOT TO SEND YESTERDAY. NEW EMAIL FOLLOWING WITH RECORDING FROM TODAY.
Thanks so much. I'll hang. I have to learn since my old days.
I'll record it today or tomorrow.
It started effecting the cranking for sure when it got worse. As it got worse, the battery or starter cranks OK for a 1/2 a revolution or so, then goes down barely turning the engine (as if low batt or dragging starter) and does that over and over along with backfiring; but, all stops when dist is retarded so batt and starter are OK. The miss seems to be a "timing" miss as well - Very irregular, all higgledy squigledy, power loss, engine shaking irregularly and too much, etc. as if something is working against itself. Timing light gone wild and way advanced.
So, I feel that it is a timing issue, and getting worse which indicates mechanical cause. But stumped as to why it accelerates fine????
On the other hand, most other causes seems to not likely catch all of the symptoms: i.e., getting progressively worse, problem began in an instant, acceleration is good.
The TPS may then just be along for the ride.
And, if my elect tests were good, then truck would not start and run at all since not showing any power to ECU, or anything at all; so, might have to assume my tests were flawed.
We'll get it with your help though. Thanks so much again!

New email:

Here are the 2 recordings. One with the distributor in moved fully retarded position; The other with the distributor in original position.
I charged the battery overnight to make sure it was peak.
One recording is with the distributor moved and retarded as far as it will go in the slot (about 1/2 inch+).
Truck cranks and starts and revs fine but cuts out some when throttle held steady at any RPM. Last week truck ran fine with hardly any miss in this dist. position. Week before that no miss at all.
The other recording with with distributor in its original position made right after the 1st recording above.

1. Last week truck would start and run as above but very much more miss at steady RPMS.
2. A few days ago, truck would finally start and run very rough but while starting it had regular dragging batt/starter and backfiring (at tailpipe) and bad popping sound at engine per every engine revolution+-. This is what I was hoping to record.
But today, as can hear, its gotten worse and truck did not start. During starting it had worse bad loud ominous popping sounds at engine and engine shake per every engine revolution+-. And there was only one time when the batt/starter dragged struggling to turn engine over. Hope you can hear this one time. (batt. seemed to be cranking better than last week causing more popping.)
As mentioned, my son said the overall problem began suddenly in an instant while driving.
Appears to definitely be a timing issue getting worse overall - and is worse with dist. in original position truck has always had.

https://photos.app.goo.gl/XsopaV6NgmJ7QNBy9
https://photos.app.goo.gl/Ss2WdbSZvjiUAi668

The website wouldn't allow me to add these where it says to add video.
If they wont open, it there an email or phone # I could send them to?
Thank you!
Was this
answer
helpful?
Yes
No
Saturday, November 21st, 2020 AT 10:11 AM
Tiny
TERMAXCO
  • MEMBER
  • 54 POSTS
Here are the 2 recordings. One with distributor in moved fully retarded position; and the with distributor in original position.
I charged the battery overnight to make sure it was peak.
One recording is with the distributor moved and retarded as far as it will go in the slot (about 1/2 inch+).
Truck cranks and starts and revs fine but cuts out some when throttle held steady at any RPM. Last week truck ran fine with hardly any miss in this dist. position. Week before that no miss at all.
2nd recording: This 2nd recording with with distributor in its original position made right after the 1st recording above.

1. Last week truck would start and run as above but very much more miss at steady RPMS.
2. A few days ago, truck would finally start and run very rough but while starting it had regular dragging batt/starter and backfiring (at tailpipe) and bad popping sound at engine per every engine revolution+-. This is what I was hoping to record.
But today, as can hear, its gotten worse and truck did not start. During starting it had worse bad loud ominous popping sounds at engine and engine shake per every engine revolution+-. And there was only one time when the batt/starter dragged struggling to turn engine over. Hope you can hear this one time. (batt. seemed to be cranking better than last week causing more popping.)
As mentioned, my son said the overall problem began suddenly in an instant while driving.
Appears to definitely be a timing issue getting worse overall - and is worse with dist. in original position truck has always had.

https://photos.app.goo.gl/XsopaV6NgmJ7QNBy9
https://photos.app.goo.gl/Ss2WdbSZvjiUAi66

If these two links will not open, is there an email I can send them to or a phone number?
The website won't let me attach them where it says to add video
Thank you!
Was this
answer
helpful?
Yes
No
Saturday, November 21st, 2020 AT 10:20 AM
Tiny
TERMAXCO
  • MEMBER
  • 54 POSTS
One more question, I have the computer sitting on the floorboard, it's connected but just want to be sure it doesn't have to be in it's proper location to work. Also I don't see the last email I sent with the recordings I did, that you requested. Can you tell me if that came through?
Thank you!
Was this
answer
helpful?
Yes
No
Saturday, November 21st, 2020 AT 6:27 PM
Tiny
JACOBANDNICKOLAS
  • MECHANIC
  • 110,194 POSTS
Hi,

I didn't get the video. I'm not sure why or what happened.

As far s the computer, as long as it's properly connected. It shouldn't require grounding where it mounts.

Joe
Was this
answer
helpful?
Yes
No
Saturday, November 21st, 2020 AT 9:02 PM
Tiny
TERMAXCO
  • MEMBER
  • 54 POSTS
Here are 2 emails that did not go through, I will trying sending the recording separately:
Email 1:
Thanks so much. I'll hang. I have to learn since my old days.
I'll record it today or tomorrow.
It started effecting the cranking for sure when it got worse. As it got worse, the battery or starter cranks okay for a 1/2 a revolution or so, then goes down barely turning the engine (as if low battery or dragging starter) and does that over and over along with backfiring; but, all stops when distributer is retarded so batt and starter are okay. The miss seems to be a "timing" miss as well - Very irregular, all higgledy squigledy, power loss, engine shaking irregularly and too much, etc, as if something is working against itself. Timing light gone wild and way advanced.
So, I feel that it is a timing issue, and getting worse which indicates mechanical cause. But stumped as to why it accelerates fine?
On the other hand, most other causes seems to not likely catch all of the symptoms: i.E, getting progressively worse, problem began in an instant, acceleration is good.
The TPS may then just be along for the ride.
And, if my elect tests were good, then truck would not start and run at all since not showing any power to ECU, or anything at all; so, might have to assume my tests were flawed.
We'll get it with your help though. Thanks so much again!
____________________________________________________________
Email 2:

Here are the 2 recordings. (Sending separately) 1st with distributor in moved fully retarded position; 2nd with dist. In original position.
I charged the battery overnight to make sure it was peak.
1st recording: The first recording is with the distributor moved and retarded as far as it will go in the slot (about 1/2 inch+).
Truck cranks and starts and revs fine but cuts out some when throttle held steady at any RPM. Last week truck ran fine with hardly any miss in this dist. Position. Week before that no miss at all.
2nd recording: This 2nd recording with with distributor in its original position made right after the 1st recording above.

1. Last week truck would start and run as above but very much more miss at steady RPM's.
2. A few days ago, truck would finally start and run very rough but while starting it had regular dragging batt/starter and backfiring (at tailpipe) and bad popping sound at engine per every engine revolution+-. This is what I was hoping to record.
But today, as can hear, its gotten worse and truck did not start. During starting it had worse bad loud ominous popping sounds at engine and engine shake per every engine revolution+-. And there was only one time when the battery/starter dragged struggling to turn engine over. Hope you can hear this one time. (Battery seemed to be cranking better than last week causing more popping.)
As mentioned, my son said the overall problem began suddenly in an instant while driving.
Appears to definitely be a timing issue getting worse overall - and is worse with dist. In original position truck has always had.
Was this
answer
helpful?
Yes
No
Sunday, November 22nd, 2020 AT 1:58 PM
Tiny
TERMAXCO
  • MEMBER
  • 54 POSTS
Here is one recording, sending other separately since they are large files.
Was this
answer
helpful?
Yes
No
Sunday, November 22nd, 2020 AT 2:02 PM
Tiny
TERMAXCO
  • MEMBER
  • 54 POSTS
Here is 2nd video recording of toyota truck. Let me know if I send same video twice.
Thank you!
Was this
answer
helpful?
Yes
No
Sunday, November 22nd, 2020 AT 2:06 PM
Tiny
JACOBANDNICKOLAS
  • MECHANIC
  • 110,194 POSTS
Hi,

It sounds like a timing issue. If you put a timing light on it, where does it show firing on cylinder 1? For example, if the timing is retarded, does it fire after TDC? I'm trying to see if something other has happened, but it does seem to be a timing issue.

Did you pull the distributor to inspect the gear? Did you check the cap for cracks? You may have done all of these already.

Let me know.
Joe
Was this
answer
helpful?
Yes
No
Sunday, November 22nd, 2020 AT 8:10 PM

Please login or register to post a reply.