Engine noise by the timing belt

Tiny
ROBERT MEDRANO
  • MEMBER
  • 1996 NISSAN 200SX
  • 1.6L
  • 4 CYL
  • 2WD
  • 174,000 MILES
Well, I have the car listed above se model. One day I had the A/C running, turned the car off then turned on later, but it made a rattling sound but loud. I changed the water pump, and no change. Nothing wrong with the timing chain. Don't know the issue.
Sunday, March 27th, 2022 AT 6:20 PM

2 Replies

Tiny
KASEKENNY
  • MECHANIC
  • 18,907 POSTS
Can you get a recording of this noise? This sounds like a possible compressor issue, but we need to confirm this because they can make a rattle noise at times.

Basically, when the clutch engages and disengages it creates a wear pattern and this can create a rattling noise when the compressor is engaged.

So, hearing this noise, we will have a better idea what the issue could be, but I would suggest removing the belt and find out if the noise stops. That will confirm this is a drive belt issue.

https://www.2carpros.com/articles/replace-serpentine-belt

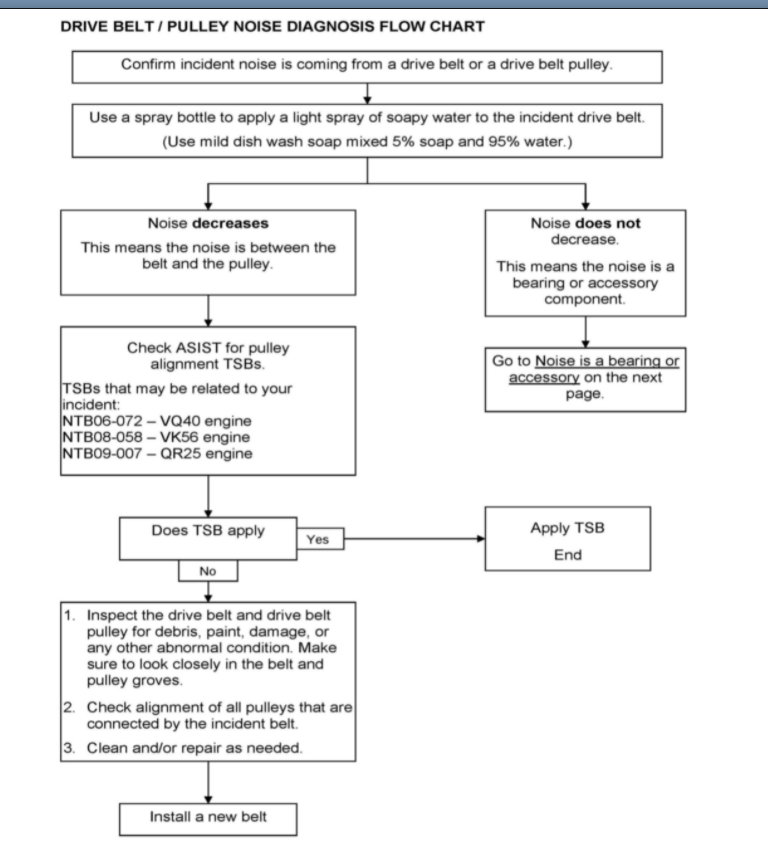
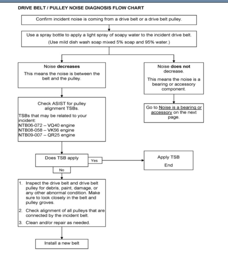
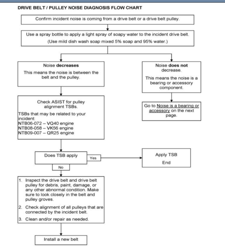
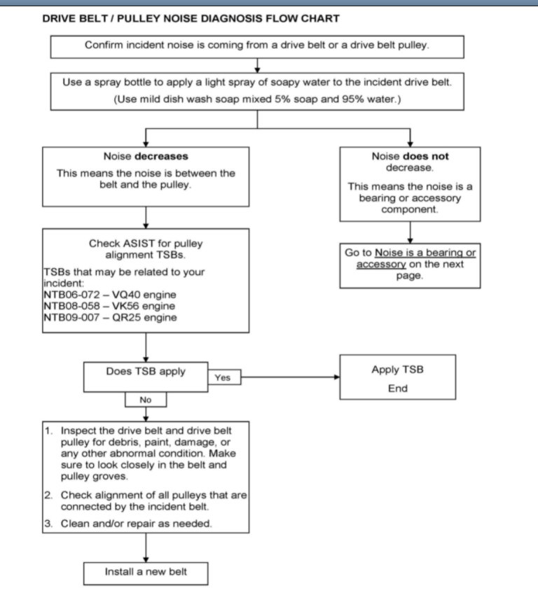
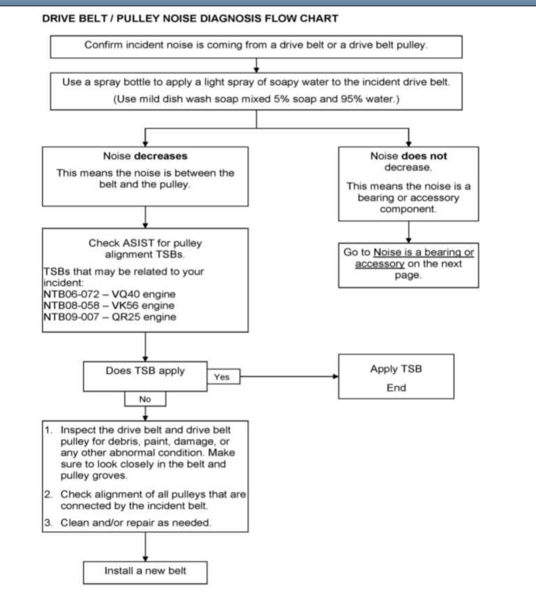
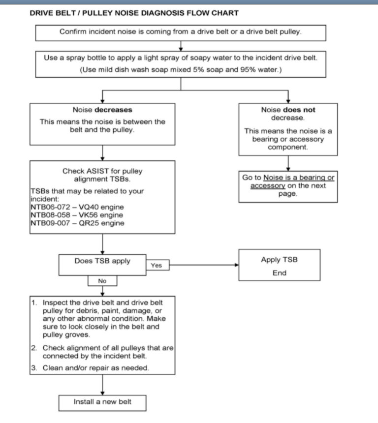
I am also attaching a TSB that will help diagnose possible belt related issues so let's start with this and go from there. Thanks
Was this
answer
helpful?
Yes
No
Monday, March 28th, 2022 AT 6:26 PM
Tiny
JACOBANDNICKOLAS
  • MECHANIC
  • 110,194 POSTS
Hi,

Is the vehicle still running and making the noise? Also, is the engine oil light staying, and is the oil clean and full?

Take a look through this link and see if anything seems to mirror what you experience.

https://www.2carpros.com/articles/engine-noises

As far as the timing chain is concerned, there are two, an upper and a lower. I attached an exploded view of the chains. I highlighted the sprockets and chain tensioner for your reference. You can remove the cover to see if there is excessive play in either of the chains. Or, if possible, record it and upload it for me to hear and see how it's running (if running).

Also, if you haven't already, remove the accessory drive belts and check for excessive play, drag, or movement in any of the belt-driven pullies.

Let me know your thoughts and what you would like to try first.

Joe
Was this
answer
helpful?
Yes
No
Monday, March 28th, 2022 AT 6:27 PM

Please login or register to post a reply.