Battery light always on?

Tiny
BOBNICH
  • MEMBER
  • 2013 CHRYSLER TOWN AND COUNTRY
  • 3.6L
  • V6
  • TURBO
  • 2WD
  • AUTOMATIC
  • 99,000 MILES
Alternator stopped working last week so I replaced it. Everything was fine for two days but then battery charge light came on and always stays on. Battery keeps its charge and measures 12.75 volts before driving. With motor running it reads 14.0 volts and stays charged. Don't know what the PCM reads to turn on light.
Wednesday, June 19th, 2019 AT 11:42 AM

38 Replies

Tiny
SCGRANTURISMO
  • MECHANIC
  • 4,897 POSTS
Hello,

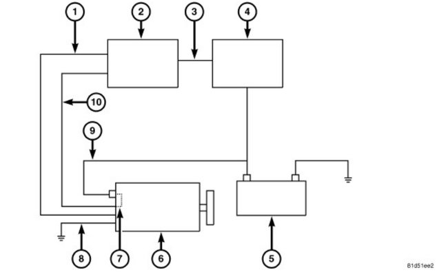
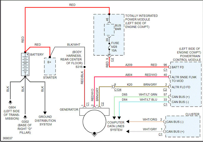
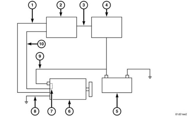
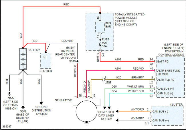
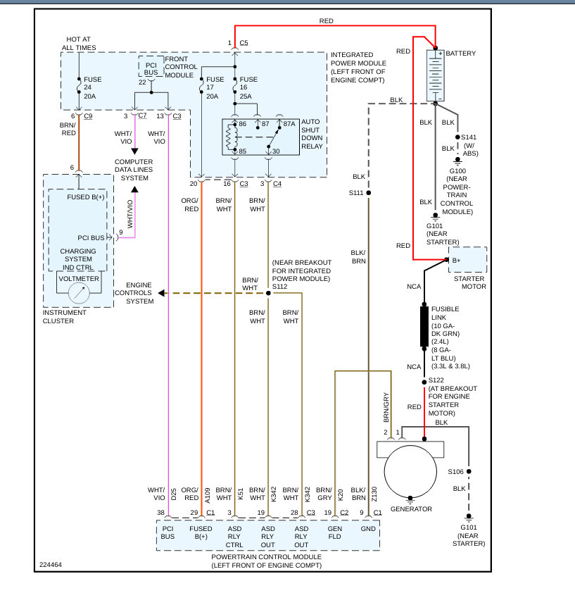
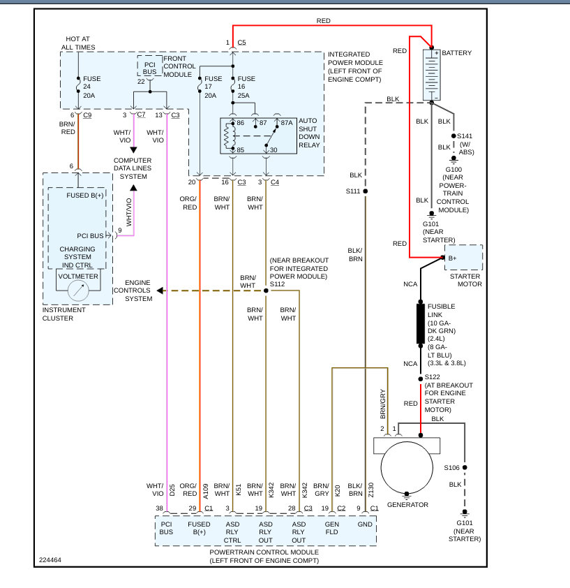
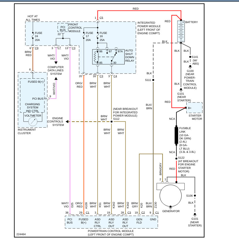
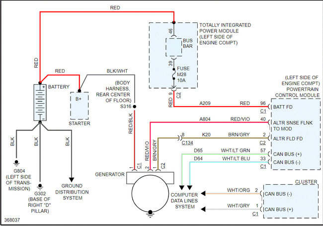
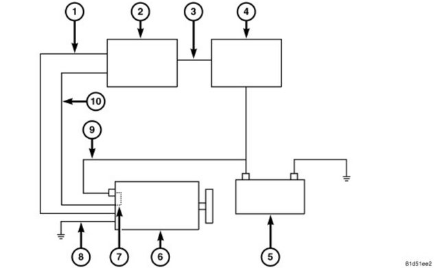
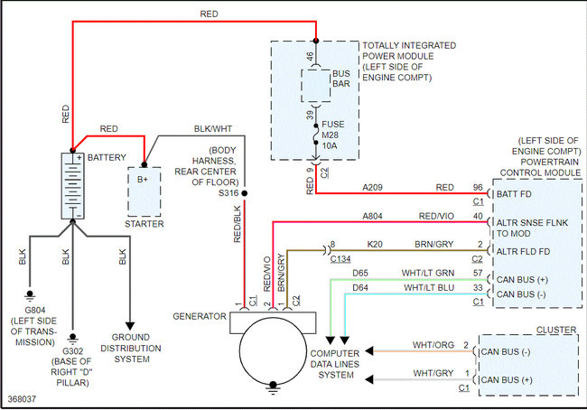
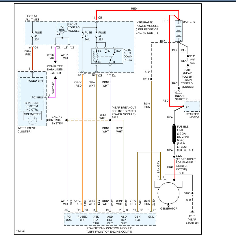
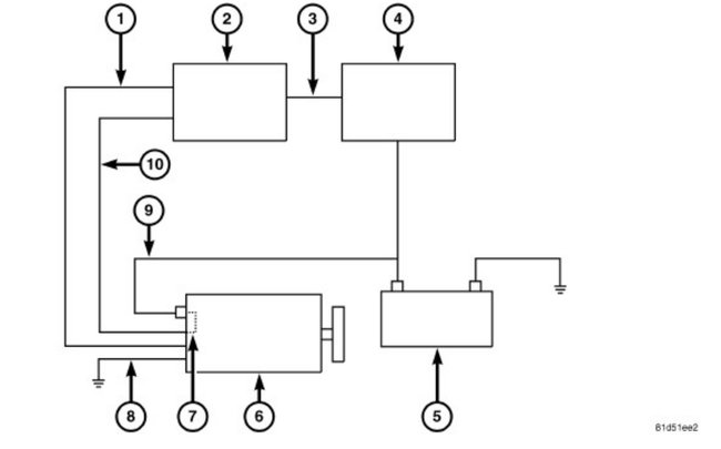
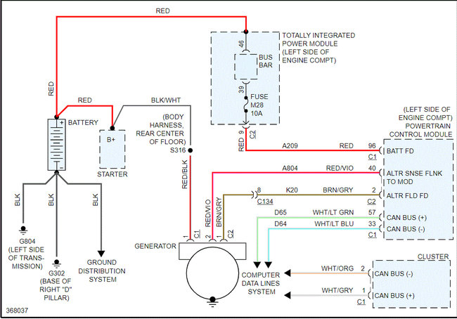
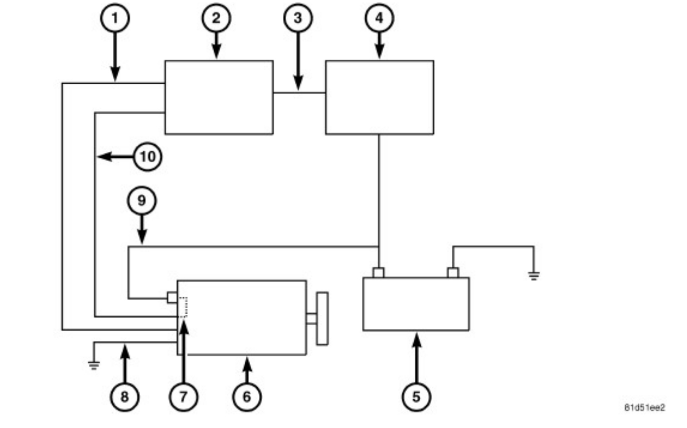
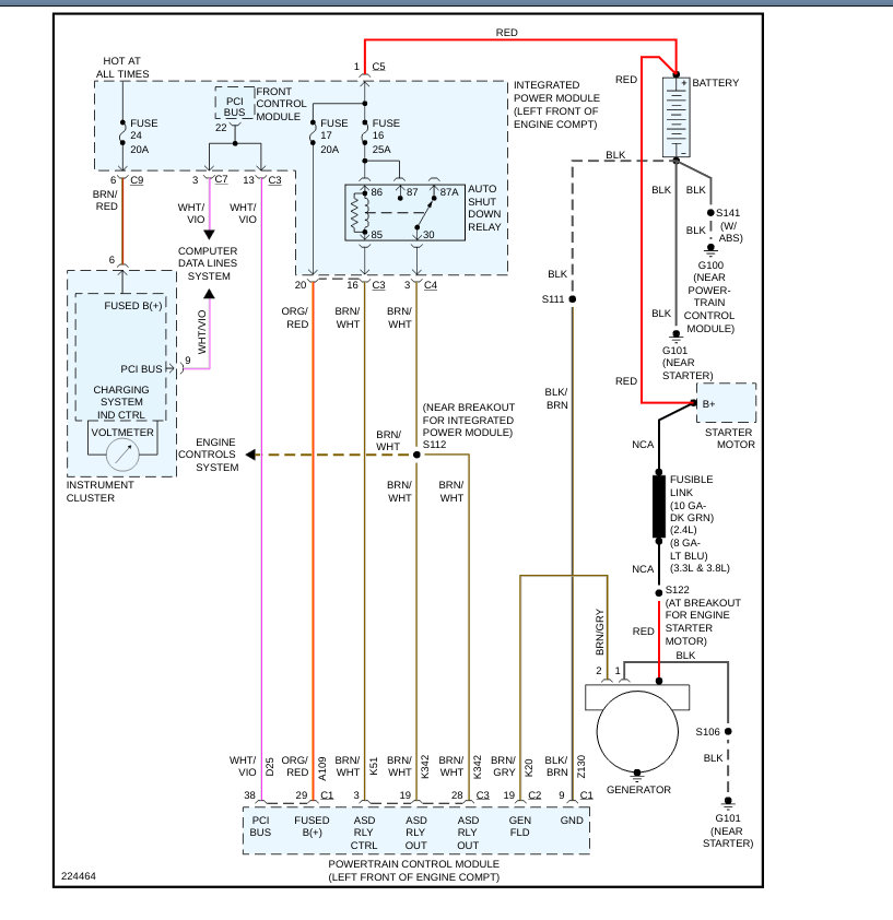
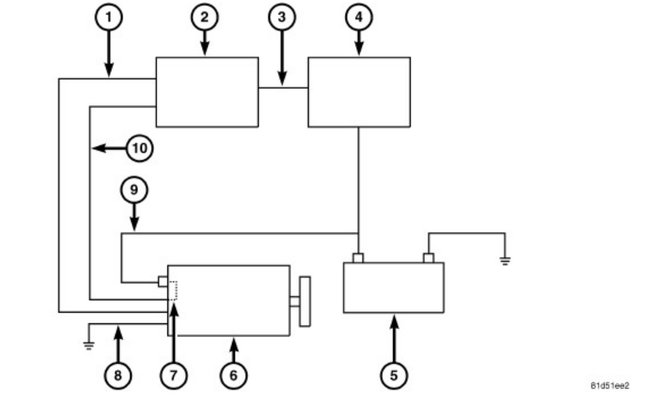
Did you have the correct alternator installed? This sounds like it could be going the other way and is overcharging your vehicle's battery. I have included the alternator specifications as well as a description of how your vehicle's charging system works in the diagrams down below. Please go through it and get back to us with what you are able to figure out. If this doesn't work the PCM may need to be replaced because the voltage motor is not working correctly. Check out the diagrams (Below). Please let us know what you find. We are interested to see what it is.
Was this
answer
helpful?
Yes
No
Thursday, June 20th, 2019 AT 2:34 AM
Tiny
BOBNICH
  • MEMBER
  • 2 POSTS
Great response. That is exactly the information I was looking for. Now, is
there a place that I can monitor the voltages at refs #3 and #10 to know
for sure? It looks like I can probe at the fusebox for ref #3 but probably
can't find where to probe #10. If I could find a place to probe #1 I could
monitor it with a scope and see what is happening.

On my old Dodge Caravan I could hook my OBDII reader to laptop and read
program memory and find the stored values when someone published the
locations online. With the more modern cars I can't find any such info
(and my old spec 9141 interface won't read cars after 2007 anyway).

Since the circuit consists of only alternator, battery, TIPM, and PCM
and all was good until alternator failed, it seems to me the new alternator
is the problem. According to Advance Auto Parts it is the correct one and
the specs published online indicate that.

Most valuable to me would be would be a wiring diagram showing the wires
and connector pin numbers were I could probe.
Was this
answer
helpful?
Yes
No
Sunday, June 23rd, 2019 AT 12:26 PM
Tiny
SCGRANTURISMO
  • MECHANIC
  • 4,897 POSTS
Hello again,

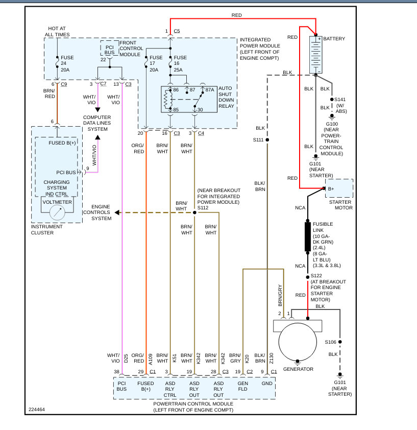
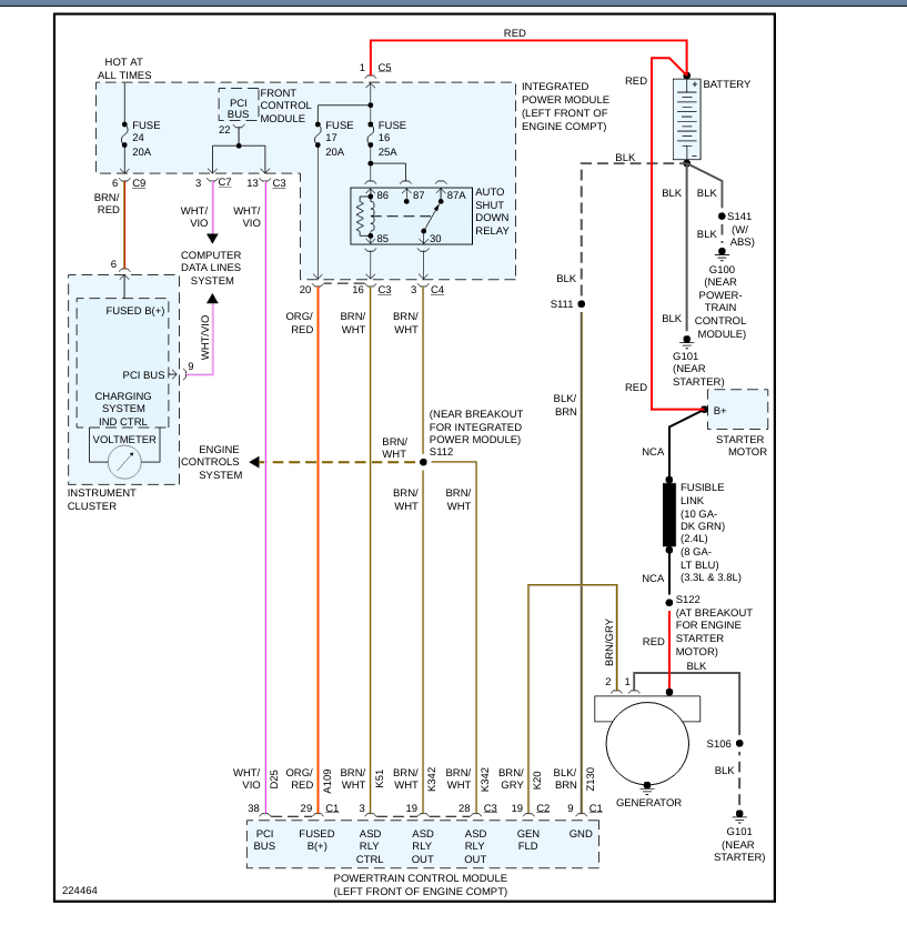
I have included the information that you requested in the diagrams down below. Please let us know what you are able to find out.

Thanks,
Alex
2CarPros
Was this
answer
helpful?
Yes
No
-1
Sunday, June 23rd, 2019 AT 6:39 PM
Tiny
MISTY DAWN COLLINS
  • MEMBER
  • 1 POST
  • 2013 CHRYSLER TOWN AND COUNTRY
  • 3 CYL
  • 2WD
  • AUTOMATIC
  • 111,000 MILES
Alternator and battery have been replaced. All fuses have been checked. Battery terminals are new. All the cables are connected. Why is the battery light still on?
Was this
answer
helpful?
Yes
No
Friday, February 12th, 2021 AT 1:20 PM (Merged)
Tiny
KEN L
  • MASTER CERTIFIED MECHANIC
  • 55,512 POSTS
Hello,

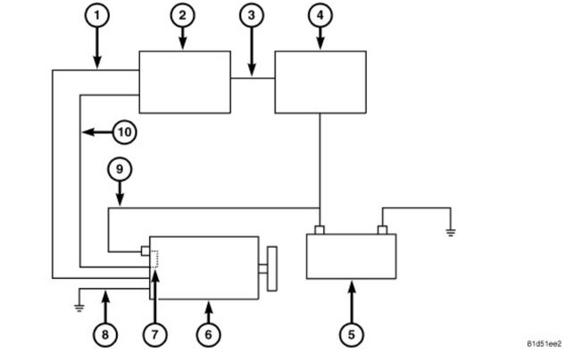
This is a common problem which is telling you the TIPM is probably out and needs to be replaced which is easy because it self initializes. Here are instructions a diagrams to help you fix the problem. Check out the diagrams (Below). Please let us know what happens.
Was this
answer
helpful?
Yes
No
Friday, February 12th, 2021 AT 1:20 PM (Merged)
Tiny
BIGGGD
  • MEMBER
  • 2 POSTS
  • 2012 CHRYSLER TOWN AND COUNTRY
  • 3.6L
  • 6 CYL
  • 2WD
  • AUTOMATIC
  • 100,000 MILES
I had my battery light come on while driving. Removed the battery. Had it tested. Tested good, full charge 12.8v. Replaced in vehicle light off. Drove vehicle 10 miles, light comes back on. Stopped Popped hood, used my voltmeter I had put in the van and checked battery voltage on the plus minus posts. 14.4v. I did not lose power steering etc, which would be serpentine issue if I did.
Was this
answer
helpful?
Yes
No
Friday, February 12th, 2021 AT 1:20 PM (Merged)
Tiny
JACOBANDNICKOLAS
  • MECHANIC
  • 110,194 POSTS
Were you seeing 14.4V while the battery light was on? Are you sure the battery terminals and connections at the alternator are clean and tight?

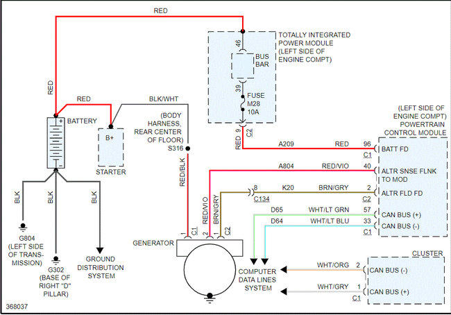
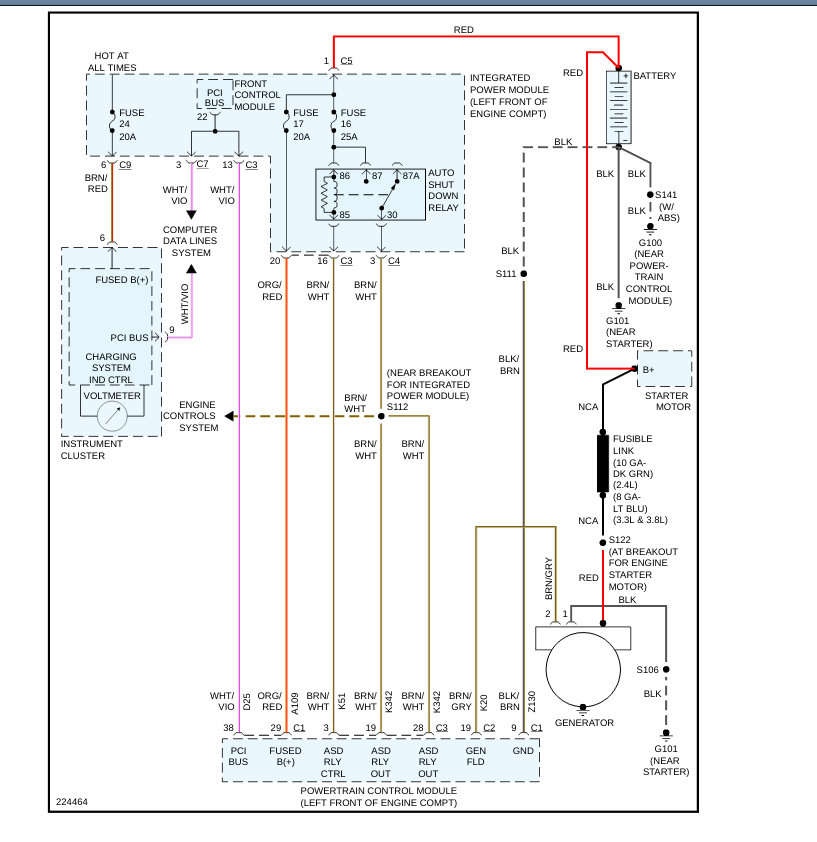
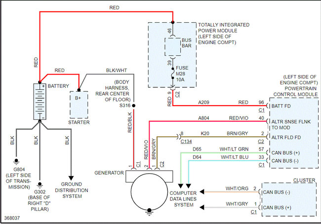
I attached a copy of the charging system wiring schematic for your reference. Start checking wiring where connections are made.

https://www.2carpros.com/articles/how-to-check-wiring

Let me know what you find. Also, let me know if you have other questions.

Take care and God Bless,

Joe
Was this
answer
helpful?
Yes
No
Friday, February 12th, 2021 AT 1:20 PM (Merged)
Tiny
BIGGGD
  • MEMBER
  • 2 POSTS
14.4v with the battery light on. With clean and tight battery terminals. However, the town country only has the idiot battery light. When I scroll through the cluster I get engine temperature, oil pressure and oil temperature (transmission temperature would make more sense, ) and there is not a voltage reading. Idioc if you ask me. I put a voltmeter in the van thru the cigarette lighter. It is reading 14.38v for the most part with small fluctuations. I have it on the dash and will monitor and wait for the battery light to come back on. I will check alternator wires.
Was this
answer
helpful?
Yes
No
Friday, February 12th, 2021 AT 1:20 PM (Merged)
Tiny
JACOBANDNICKOLAS
  • MECHANIC
  • 110,194 POSTS
That is an odd one. There could be a break down in the can bus. You may want to scan the entire can-bus system to see if it shows a failure. CAN stands for controller area network. This vehicle has it and there are computer data lines running into the vehicle. Here is a video showing how it's done:

https://youtu.be/InIlnsjOVFA

Let me know.

Take care,

Joe
Was this
answer
helpful?
Yes
No
Friday, February 12th, 2021 AT 1:20 PM (Merged)
Tiny
R37KINGS
  • MEMBER
  • 1 POST
  • 2006 CHRYSLER TOWN AND COUNTRY
  • 3.3L
  • 6 CYL
  • 2WD
  • AUTOMATIC
  • 150,000 MILES
Coupled days ago car had shut off. Alternator and battery were both low. Put new battery and alternator in. Started up and ran fine. 15 minutes later, battery light is back on. Any ideas?
Was this
answer
helpful?
Yes
No
Friday, February 12th, 2021 AT 1:21 PM (Merged)
Tiny
SCGRANTURISMO
  • MECHANIC
  • 4,897 POSTS
Hello,

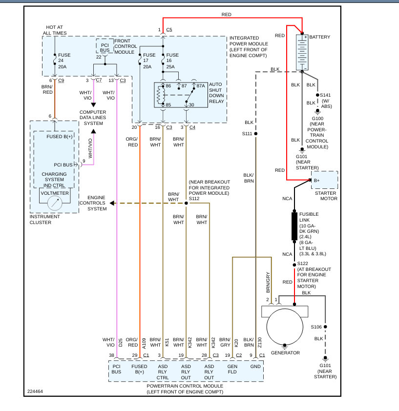
I would double check the connections to the battery terminal and the connections on the alternator to make sure that they are correct and they are all tight. Also could you please check and make sure that they alternator's drive belt is tight and is not slipping. In the diagrams down below I have included the charging circuit wiring diagram for reference to make sure everything is hooked correctly. Please get back to us with what you find out and we can go from there.

Thanks,
Alex
2CarPros
Was this
answer
helpful?
Yes
No
Friday, February 12th, 2021 AT 1:21 PM (Merged)
Tiny
SEBASTIANFROMNJ
  • MEMBER
  • 40 POSTS
  • 2005 CHRYSLER TOWN AND COUNTRY
  • 6 CYL
  • 150,000 MILES
Replaced engine for customer. Had a bad piston in cylinder 6. Rest of swap went good and misfire is gone. However the battery light wont go off. The alternator is new. If I manually power the field the alternator charges but battery light remains. Wire has continuity to fuse panel. Grounds seem okay if I jump ground to alt or block it doesn't change anything. Alt is spinning and is putting out no power. Goes above 13v with field manually powered. Put another alternator in no difference. There is no interior fuse panel and all fuses seem okay in engine panel. I've also tried jumping directly to positive terminal of battery to alternator post.
Alternator is not charging at post without me manually engaging field.
Was this
answer
helpful?
Yes
No
Friday, February 12th, 2021 AT 1:21 PM (Merged)
Tiny
ASEMASTER6371
  • MECHANIC
  • 52,796 POSTS
Good afternoon,

I attached the wire diagram for you to view. The field comes from the ECM. If there is no power, good chance the ECM itself has failed.

https://www.2carpros.com/articles/how-to-check-a-car-alternator

https://www.2carpros.com/articles/how-to-check-wiring

Roy
Was this
answer
helpful?
Yes
No
Friday, February 12th, 2021 AT 1:21 PM (Merged)
Tiny
SEBASTIANFROMNJ
  • MEMBER
  • 40 POSTS
Is it possible this diagram is wrong?
I seem to have blue yellow and black gray. I’m assuming this is just a discrepancy between sub models.
Was this
answer
helpful?
Yes
No
Friday, February 12th, 2021 AT 1:21 PM (Merged)
Tiny
ASEMASTER6371
  • MECHANIC
  • 52,796 POSTS
I looked it up for a 3.3. Is the engine size different?

I believe they are are the same.

Can you post the complete VIN number?

Roy
Was this
answer
helpful?
Yes
No
Friday, February 12th, 2021 AT 1:21 PM (Merged)
Tiny
SEBASTIANFROMNJ
  • MEMBER
  • 40 POSTS
You’ll never believe; I realized the color difference and looked at the connectors I had the alternator and A/C compressor plugs mixed up. They’re keyed the same way and both fit on both connectors and are in same general area.
Thank you for your help.
Was this
answer
helpful?
Yes
No
Friday, February 12th, 2021 AT 1:21 PM (Merged)
Tiny
SEBASTIANFROMNJ
  • MEMBER
  • 40 POSTS
Also, car threw no codes and ran perfect.
Was this
answer
helpful?
Yes
No
Friday, February 12th, 2021 AT 1:21 PM (Merged)
Tiny
ASEMASTER6371
  • MECHANIC
  • 52,796 POSTS
Good find.

You are welcome.

Always glad to help.

Roy
Was this
answer
helpful?
Yes
No
Friday, February 12th, 2021 AT 1:21 PM (Merged)
Tiny
VINCYCARTROUBLES
  • MEMBER
  • 2 POSTS
  • 2005 CHRYSLER TOWN AND COUNTRY
  • 139,000 MILES
Just replaced alternator AGAIN two weeks ago, it was replaced originally one year ago. Now the battery light is coming on intermittently and I had it checked at three different places they say that both battery and alternator if functioning like it should -unclear why battery indicator comes on. HELP
Was this
answer
helpful?
Yes
No
Friday, February 12th, 2021 AT 1:21 PM (Merged)
Tiny
RASMATAZ
  • MECHANIC
  • 75,992 POSTS
Have this checked out: The Electronic Voltage Regulator (EVR) is not a separate component. It is actually a voltage regulating circuit located within the Powertrain Control Module (PCM). The EVR is not serviced separately. If replacement is necessary, the PCM must be replaced.
Was this
answer
helpful?
Yes
No
Friday, February 12th, 2021 AT 1:21 PM (Merged)

Please login or register to post a reply.