Monday, February 20th, 2023 AT 4:24 AM
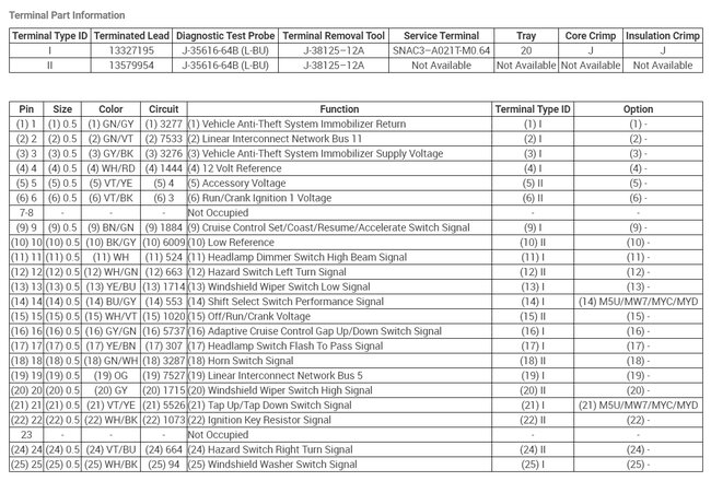
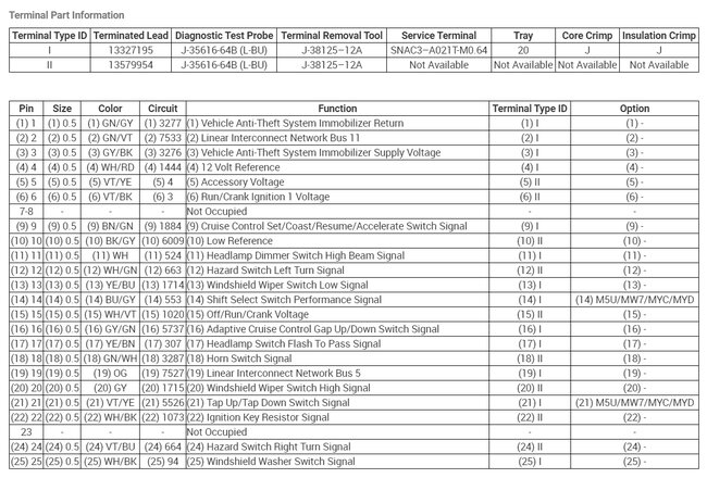
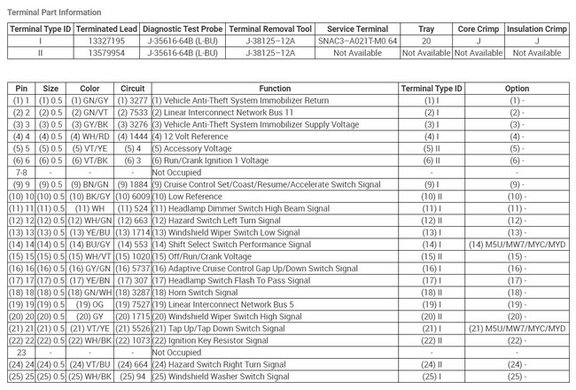
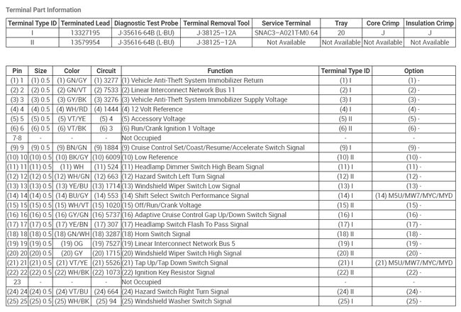
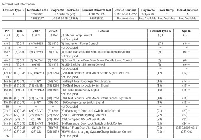
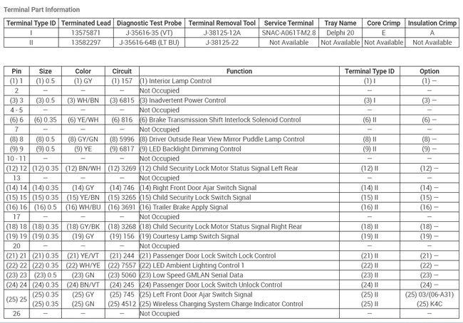
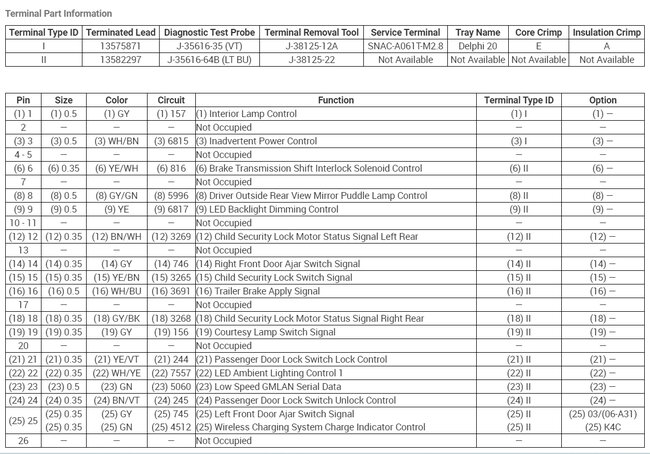
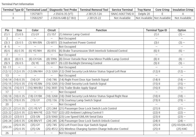
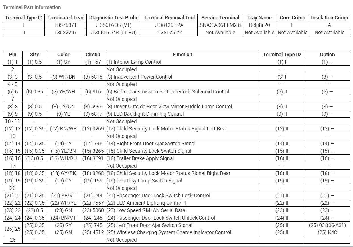
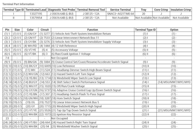
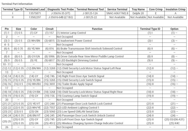
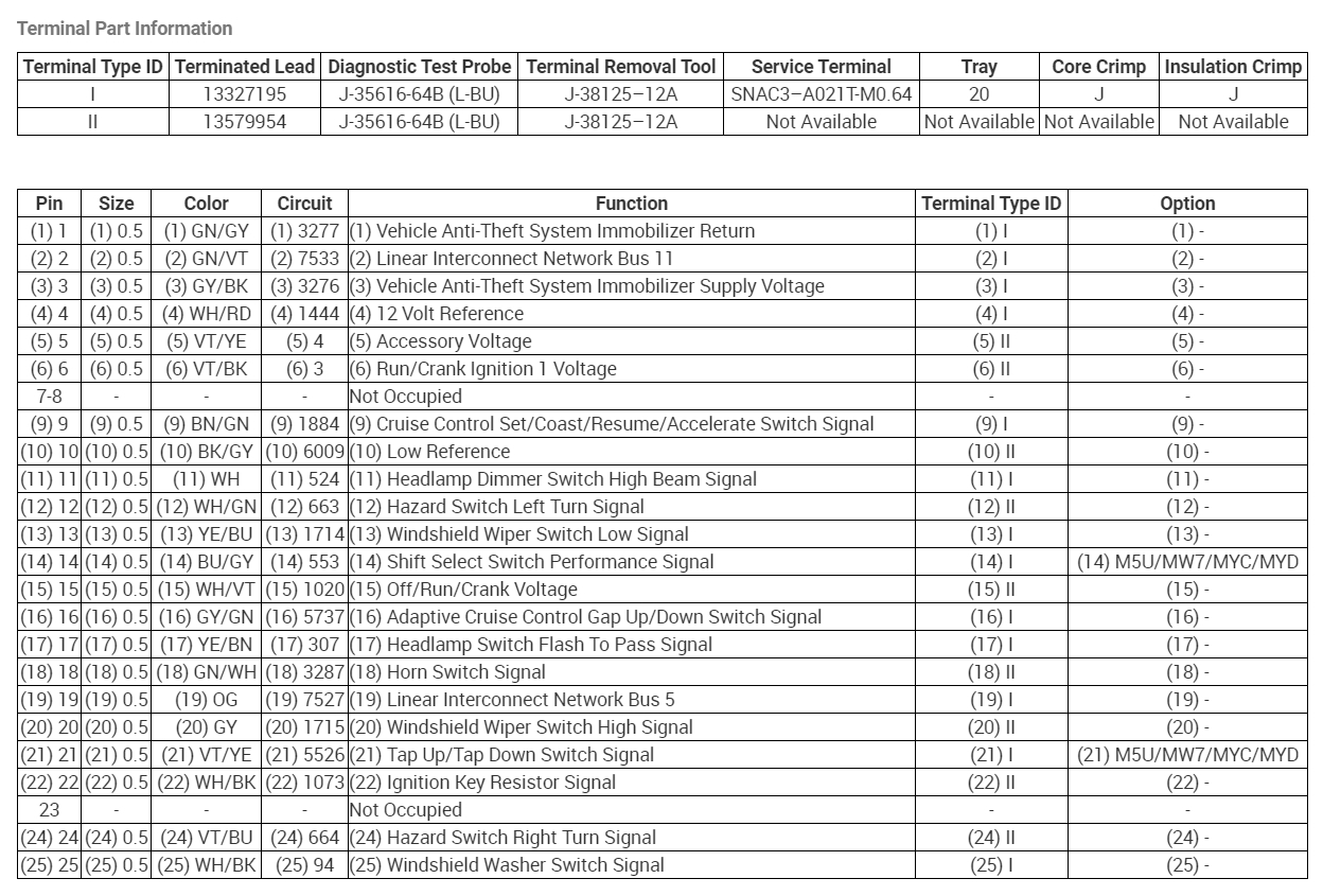
I need to tap into the back lighting for adding fog and drive light switches and would like to know what connector the yellow wire is at for the tap.



















