While it is running, if I take the battery cable off it still runs?

Tiny
CALVIN WIDEMAN
  • MEMBER
  • 2011 KIA SORENTO
  • V6
  • 2WD
  • AUTOMATIC
  • 200,000 MILES
New battery. While it's running, if I take the battery cable off it still runs, if I go to put it back on it, it will spark and cut off. What's the problem?
Friday, November 4th, 2022 AT 7:28 PM

8 Replies

Tiny
AL514
  • MECHANIC
  • 5,593 POSTS
Hello, why are you disconnecting the battery with the vehicle running? You are probably causing a voltage spike through the charging system. The Battery has a Battery sensor mounted on the negative battery cable, it relays information about the charging system to the engine computer over a Lin Bus communications network, it's not a good idea to disconnect any electrical components while the key is On, and definitely not when the vehicle is running.

https://www.2carpros.com/articles/how-a-car-electrical-system-works
Was this
answer
helpful?
Yes
No
Friday, November 4th, 2022 AT 7:42 PM
Tiny
CALVIN WIDEMAN
  • MEMBER
  • 19 POSTS
We were trying to make sure the alternator was working.
Was this
answer
helpful?
Yes
No
Friday, November 4th, 2022 AT 7:59 PM
Tiny
CALVIN WIDEMAN
  • MEMBER
  • 19 POSTS
And what could be draining the new battery?
Was this
answer
helpful?
Yes
No
+1
Friday, November 4th, 2022 AT 8:03 PM
Tiny
AL514
  • MECHANIC
  • 5,593 POSTS
You can't disconnect the battery while running on modern vehicles, are you having an issue with the battery draining while the vehicle is off overnight?
Was this
answer
helpful?
Yes
No
Friday, November 4th, 2022 AT 8:09 PM
Tiny
CALVIN WIDEMAN
  • MEMBER
  • 19 POSTS
Yes.
Was this
answer
helpful?
Yes
No
Friday, November 4th, 2022 AT 8:14 PM
Tiny
AL514
  • MECHANIC
  • 5,593 POSTS
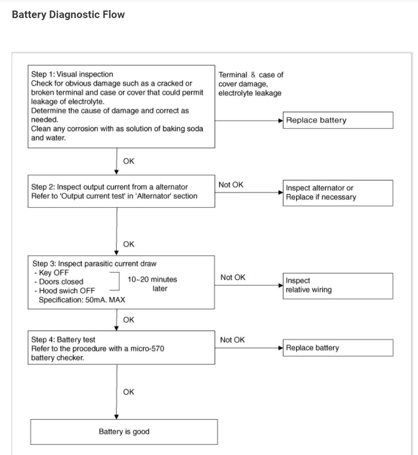
Most likely you have a module that is not powering down after the vehicle is locked and the modules (computers) time out. The correct way to diagnose a parasitic draw on the battery is go through the process of putting the vehicle to sleep. Leaving access to all the fuse panels, by keeping the doors open, but latching the door latches, latch the hood latch so the hood can remain open for testing. Then lock the vehicle and allow all the modules to time out (go to sleep, by powering down). Give the vehicle an hour or so to make sure every module has powered down and use a multimeter set on dc volts and start going over each fuse until there is a reading, it will be a very low reading. In the millivolts, but any fuse that reads a voltage drop on it has current flowing through it. Meaning that circuit is still carrying current and is possibly the circuit keeping a module awake and drawing down the battery. It sounds like a complicated test, but it is not.
The reason the doors need to be latched is because when you open a door, the body control module or the door module will power up and start transmitting on the network and therefore cause other modules to power up. This is normal for preparing for startup.
Some people will just start pulling fuses out until the draw on the battery is gone, but this is not the correct way. Pulling fuses and reinstalling them will only cause modules to power up and cause more draw on the battery.

Have you been having any issues with the door handles not functioning correctly?

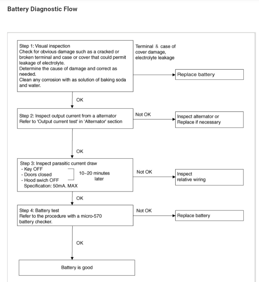
Check for this concern (third diagram) it has to do with a battery discharge issue.

https://www.2carpros.com/articles/car-battery-dead-overnight
Was this
answer
helpful?
Yes
No
Friday, November 4th, 2022 AT 8:29 PM
Tiny
CALVIN WIDEMAN
  • MEMBER
  • 19 POSTS
There are no outside door handles, we have to open it from inside door handles.
Was this
answer
helpful?
Yes
No
Friday, November 4th, 2022 AT 9:15 PM
Tiny
AL514
  • MECHANIC
  • 5,593 POSTS
Are the front door handles broken off on both sides? Are there any other components not functioning correctly? Such as the Tail Gate actuator, fuel filler door, door power locks, power window switches, etc, and how do you access the interior door handles? I'm just trying to determine if there are any fuses you can pull to stop the battery draw. Do you have a basic multimeter that can read dc voltage? And do this check if you have a compass on the Instrument Cluster.
Was this
answer
helpful?
Yes
No
Friday, November 4th, 2022 AT 10:20 PM

Please login or register to post a reply.