Code P505, where is the relay for the idle air control valve located?

Tiny
MIKE WP23
  • MEMBER
  • 1998 HONDA CIVIC
  • 1.6L
  • 4 CYL
  • 2WD
  • AUTOMATIC
  • 266,000 MILES
We have changed the idle air control valve the TPS and all hoses and still throwing the po505 code.
Tuesday, August 16th, 2022 AT 8:02 PM

1 Reply

Tiny
JACOBANDNICKOLAS
  • MECHANIC
  • 110,192 POSTS
Hi,

Is the idle speed consistent, and correct? Also, are you getting any other codes?

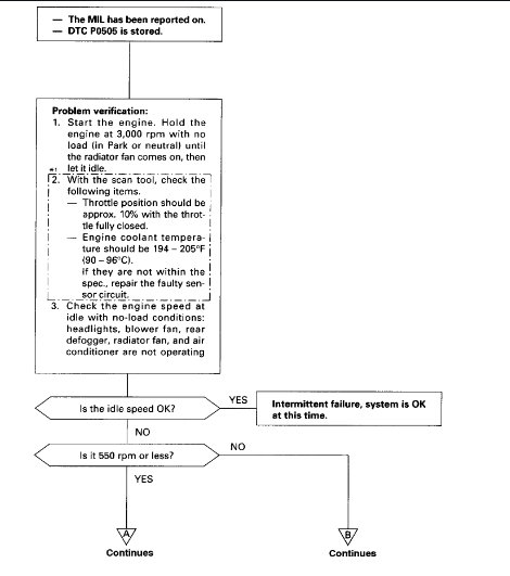
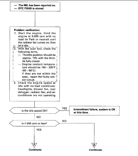
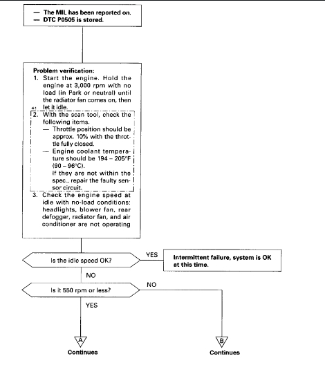
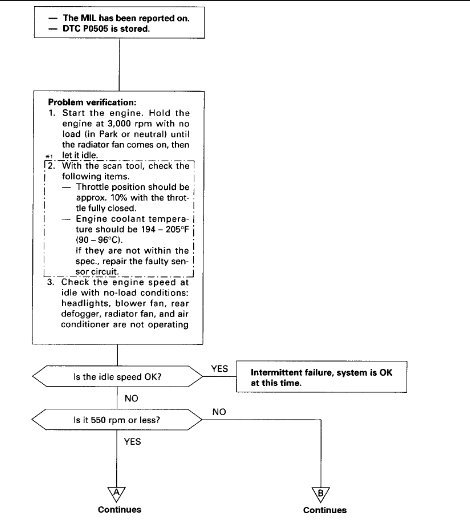
This could be a few things. I attached the diagnostics below for P0505. It will require a scan tool. Take a look through them and let me know if you feel comfortable doing it.

Also, if you haven't cleaned the throttle body, you may want to try that as well. Here is a link that explains how it's done:

https://www.2carpros.com/articles/throttle-actuator-service

Let me know.

Joe

See pics below.
Was this
answer
helpful?
Yes
No
Tuesday, August 16th, 2022 AT 8:44 PM

Please login or register to post a reply.