Trouble codes

Tiny
GREG HALLATT
  • MEMBER
  • 1995 CADILLAC DEVILLE
  • 4.9L
  • V8
  • FWD
  • AUTOMATIC
  • 193,000 MILES
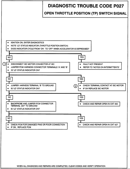
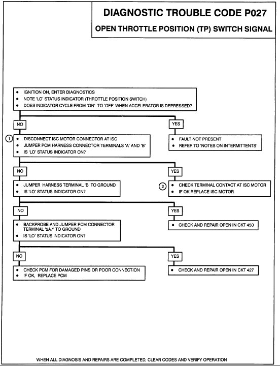
Trouble code P027 comes up which corresponds to "open throttle signal switch". Car is stalling coming up to stop signs etc. Is this the same as throttle positioning sensor?
Thursday, September 21st, 2017 AT 6:30 AM

1 Reply

Tiny
STEVE W.
  • MECHANIC
  • 15,704 POSTS
No, the switch only opens/closes and is part of the idle speed controller. Check the wiring to the ISC motor and be sure it is okay, your description sounds like the ISC is not operating correctly and is letting the engine stall when coming off of the throttle.
It is not hard to change but you need to perform a re-learn procedure once it is done.

Before you do the re-learn clean the throttle body bore. Then disconnect the battery for a couple minutes. Reconnect and turn the key on for thirty seconds then off for thirty and then start the engine and let it warm up. Repeat the procedure again not that it is warm.
Was this
answer
helpful?
Yes
No
Friday, September 22nd, 2017 AT 10:44 AM

Please login or register to post a reply.