Code P0335 again

2002 HYUNDAI SONATA
140,000 MILES • 2.4L • 4 CYL • 2WD • AUTOMATIC
Avatar
STUXNET97
  • MEMBER
  • 11 POSTS
Hello, yesterday I turned off the car running, I connected the scanner and showed the code P0335. This is the second time that less than a year I changed that sensor. Then I can not understand what happens, the sensor is OEM agency.
It will be too much heat in the engine? sometimes I think they made the wrong location of that sensor.
Now my car is at home and does not turn on, I am not sure if the ring is turning but the first time it was ruined I had to wait for the temperature to turn on again, this time not.

Like I got tired of the car, I've invested a lot of money and I'll go for a new car, only if they have an answer that is helpful.
May 26, 2019 at 5:59 AM
Advertisement
Repair Safety Notice: This information is for general instructional purposes only. Vehicle repair can be dangerous. Verify all information, follow manufacturer service procedures, use proper tools and safety equipment, and consult a qualified repair shop when needed.
Avatar
KASEKENNY
  • AUTOMOTIVE REPAIR CONTRIBUTOR
  • 18,907 POSTS
Hi Stuxnet97,

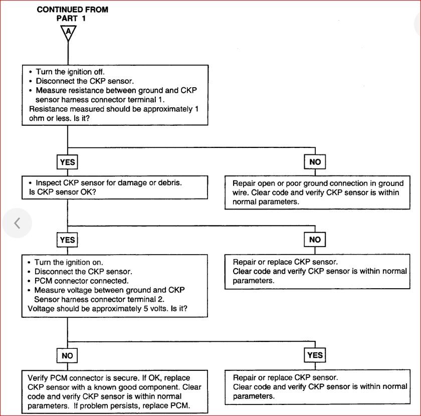
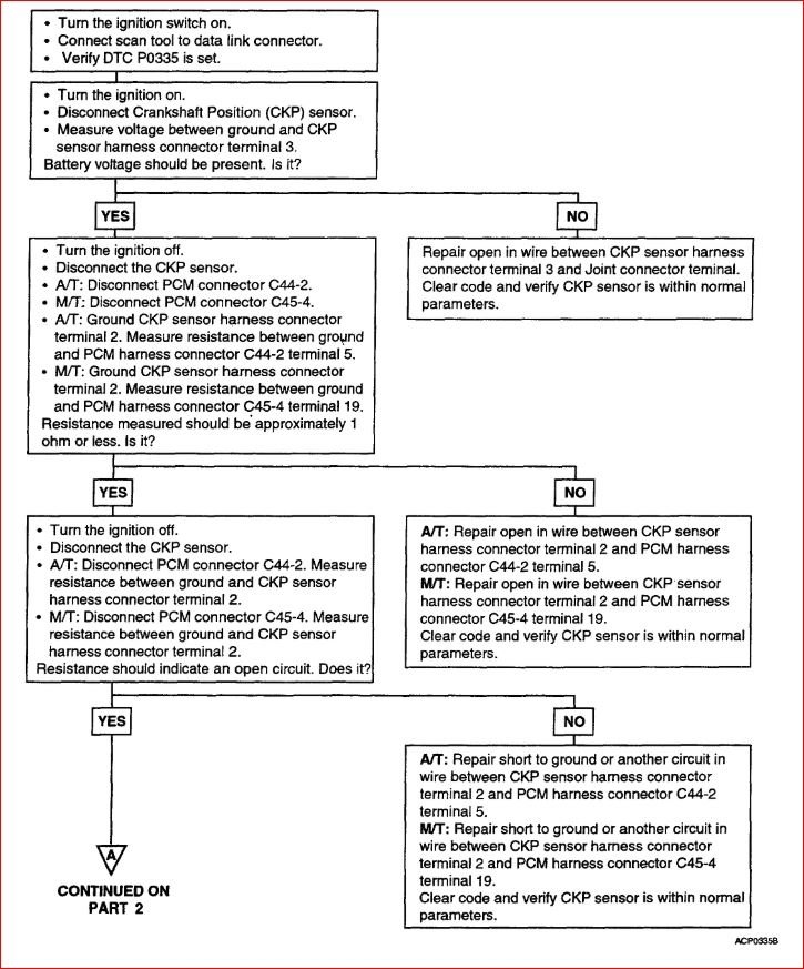
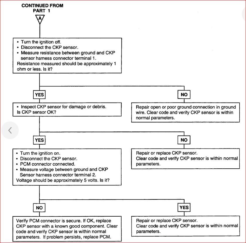
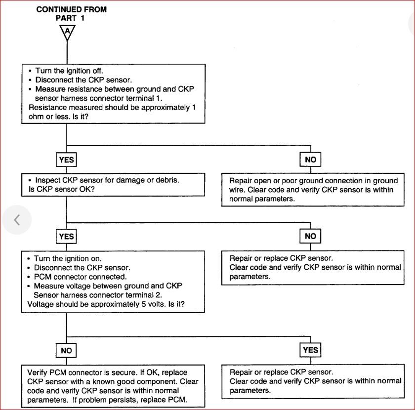
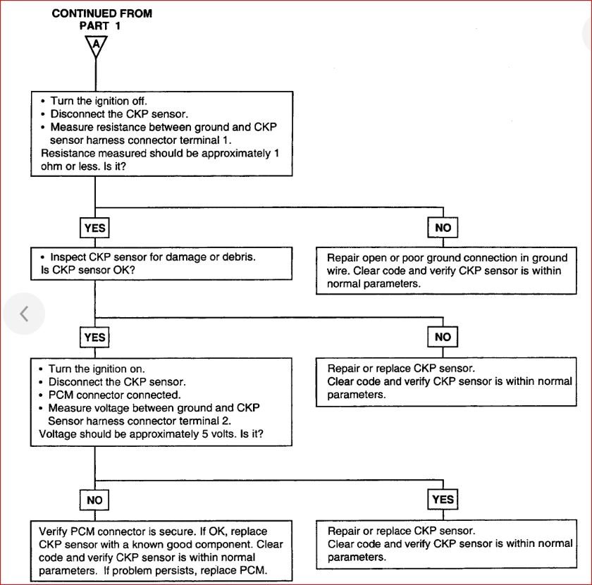
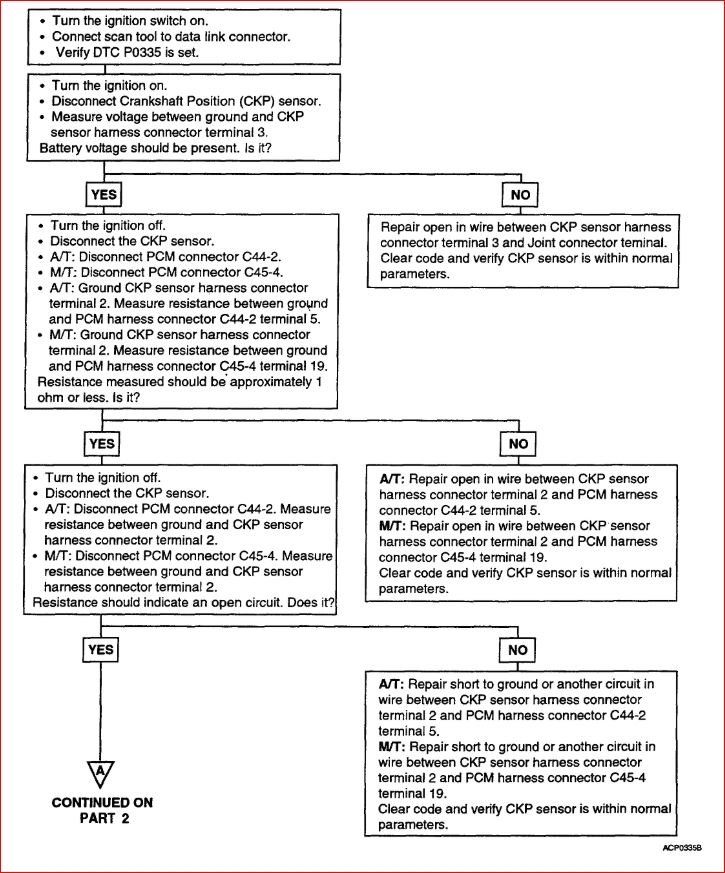
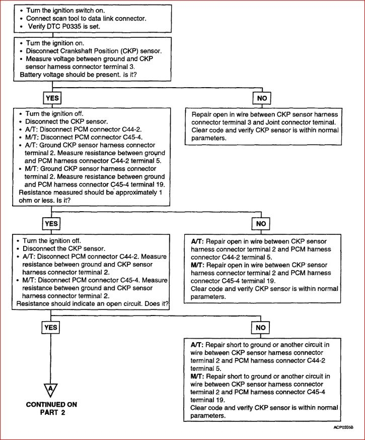
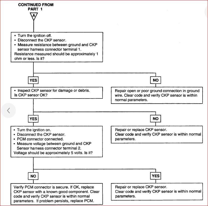
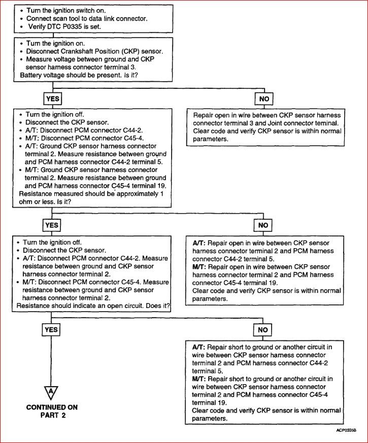
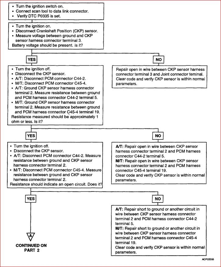
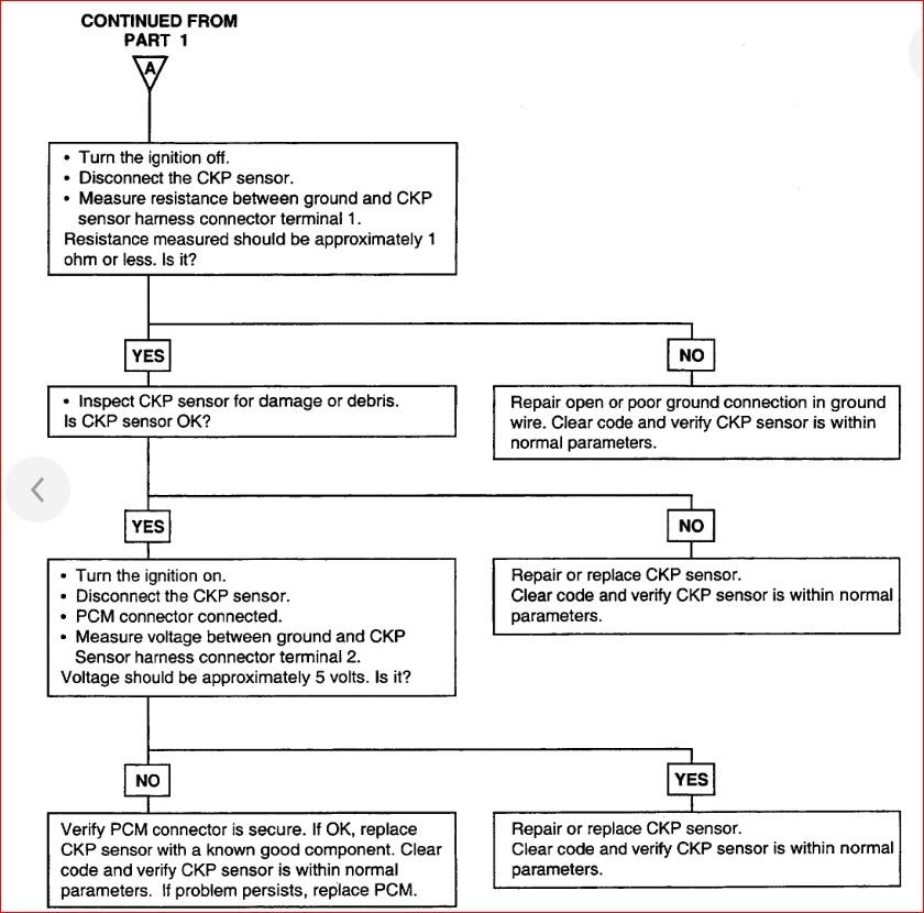
I attached the code description and diagram for this code. However, it appears you don't need that.

Assuming that the engine starts once you replace the sensor, there are a couple of things that would cause repeated failures. First, if there is excessive heat as you mentioned it will metal the sensor. I would suggest using an infrared temp meter to check the temp on the sensor and crank pulley while the engine is running. You mentioned that the first time you replaced the sensor that it was ruined and had to wait for it to cool down. Am I reading that correctly? If so, this is most likely your issue. You could have a bearing on the crankshaft going bad and it is getting excessively hot which translate that heat to the surrounding components including your sensor. This is why you need to measure the temp with the laser meter.

Second, is if there is metal or debris getting on the sensor. This will cause poor readings to the PCM and it will require replacement. Then when you replace it and it gets "dirty" it will fail again. You can tell this by comparing the sensor to the new one. See if it looks dirty and if so, you could try cleaning it with an electric parts cleaner. Don't spray it with brake clean as this has chlorine in it and can damage the sensor.

Lastly, if the crank wheel has an issue but this is least likely according to your symptoms. However, if the crank wheel has a crack in it, it will prevent a start but again, replacing just the sensor should not make a change.

https://www.2carpros.com/articles/how-to-use-an-infrared-temperature-meter

Let me know what you find and we can go from there. Thanks
May 26, 2019 at 10:22 AM