Engine misfiring

Tiny
1SKEE
  • MEMBER
  • 2000 FORD EXPLORER
  • 4.0L
  • V6
  • 4WD
  • AUTOMATIC
  • 153,000 MILES
Engine missing on cylinder number four. New Bosch plugs, new wires, new coil pack. Totally random compression reading on cylinder number four. New decent quality compression gauge, screwed in tight and left in place for all tests. Low of 50#, high of 110#. After a half dozen varied readings, I wondered if time between readings would matter: 83# 12m. Later 85#, one hour later 90#, 1:20 later 90#, three and half hours later 100#.
Had a mechanic check with his gauge, two 60's and a 90. He believes a valve job is needed, pretty costly. So I am grasping at straws and also would like to know what a valve's problem would be to be so inconsistent? Sticking or bent?
I have run two cans of "Sea Foam" through the gas and currently have "Restore" in the oil.
Other than an obvious miss, especially on acceleration, it runs good and power's good.
I am stumped and curious. Any thoughts?
Tuesday, July 31st, 2018 AT 10:13 AM

1 Reply

Tiny
JACOBANDNICKOLAS
  • MECHANIC
  • 110,194 POSTS
Hi and thanks for using 2CarPros.com.

First, here is a link which describes different reasons for low or no compression:

https://www.2carpros.com/articles/the-reasons-for-low-compression

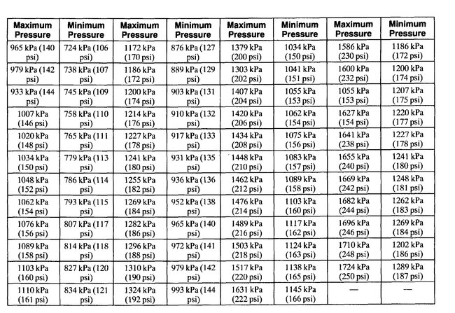
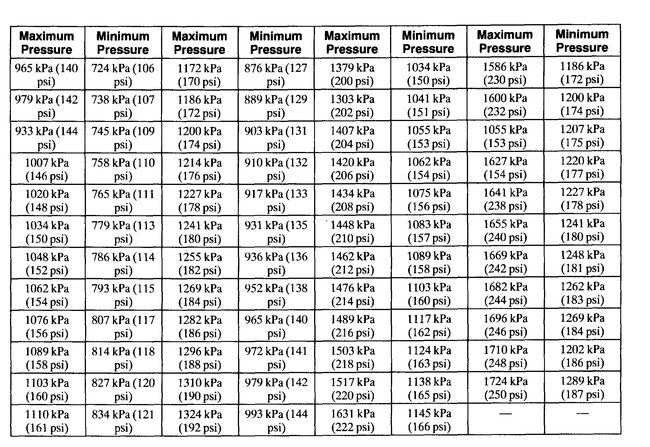
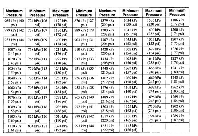
Next, keep in mind, it could be a valve or rings. The compression readings you got are exceptionally low. According for Ford, more than a 25% variation between the highest and lowest compression reading for the cylinders is a problem. However, Ford does not provide specific ratings for the compression other than that variation. With that in mind, I have attached two pictures for you to refer to. They indicate the maximum PSI and the lowest acceptable PSI readings. These are basically the highest compression found vs the lowest acceptable.

Next, since we are not sure if it is a valve or a compression ring issue, here is how you check. As far as the variations in testing, that can be the result of temperature, if you have the throttle plate open when testing. Usually, a weak/worn cylinder stays somewhat consistent.

_____________________________________________
Compression Pressure Limit Chart

If one or more cylinders reads low, squirt approximately one tablespoon of Super Premium SAE 5W-30 Motor Oil, XO-5W30-QSP or equivalent meeting Ford specification WSS-M2C153-G on top of the pistons in the low-reading cylinders. Repeat the compression pressure check on these cylinders.

Compression Test-Interpreting Compression Readings
1. If compression improves considerably, piston rings are faulty.
2. If compression does not improve, valves are sticking or seating incorrectly.
3. If two adjacent cylinders indicate low compression pressures and squirting oil on each piston does not increase compression, the head gasket may be leaking between cylinders. Engine oil or coolant in cylinders could result from this condition.
Use the Compression Pressure Limit Chart when checking cylinder compression so that the lowest reading is within 75 percent of the highest reading.
_____________________________________________
Last, I wanted to include the instructions for a compression test specific to your vehicle from Alldata. You may have done it like they recommend, but I wanted to make sure you had it. Here it is.
_____________________________________________

AllData Editors Note - Ford does not provide a cranking pressure specification, only an acceptable range.

1. Make sure the oil in the crankcase is of the correct viscosity and at the correct level and that the battery is correctly charged. Operate the vehicle until the engine is at normal operating temperature. Turn the ignition switch to the OFF position, then remove all the spark plugs.
2. Set the throttle plates in the wide-open position.
3. Install a compression gauge such as the Compression Tester in the No.1 cylinder.
4. Install an auxiliary starter switch in the starting circuit. With the ignition switch in the OFF position, and using the auxiliary starter switch, crank the engine a minimum of five compression strokes and record the highest reading. Note the approximate number of compression strokes required to obtain the highest reading.
5. Repeat the test on each cylinder, cranking the engine approximately the same number of compression strokes.

Compression Test-Test Results
The indicated compression pressures are considered within specification if the lowest reading cylinder is within 75 percent of the highest reading.

I hope this information is helpful. Let me know if you have other questions or need additional help.

Take care,
Joe
Was this
answer
helpful?
Yes
No
Wednesday, March 17th, 2021 AT 6:44 PM

Please login or register to post a reply.