Thursday, January 21st, 2021 AT 12:36 PM
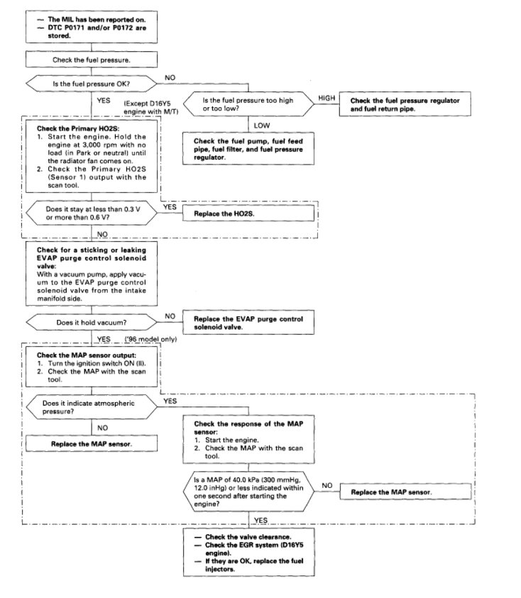
My car listed above dx model, stalls when I drive it and just cranks and won't start. I start it up every morning and it start right up as the car is warming up it heistiges/misfire then shuts off/stall and just cranks but won't turn on. I checked and I'm getting spark and fuel. The timing is TDC, new spark plugs, spark plug wires, I checked the ignition coil inside the distributor and it's getting spark also replaced the cap and rotor getting spark at the spark plugs. I hear all four fuel injectors with long screwdriver ticking also checked for resistance and they are all around the same resistance. I can hear the fuel pump prime and main relay click when I turn the key. I also did I compression test and the engine is healthy, no vacuum leaks from what I can see.







