Cannot program the aftermarket key-less entry

Tiny
DDOT LLENRAP
  • MEMBER
  • 2001 TOYOTA CAMRY
  • 2.2L
  • 4 CYL
  • 2WD
  • AUTOMATIC
  • 274,000 MILES
All videos on YouTube are different in way just need to know correct way please.
Tuesday, February 18th, 2020 AT 11:26 AM

10 Replies

Tiny
KASEKENNY
  • MECHANIC
  • 18,907 POSTS
You may be having an issue because you said you have an aftermarket key-less entry? If this is not the factory part then it will not program the same way. Aftermarket key-less entry should come as a complete kit that you need to install a new module and wire it to the lock circuit.

Can you send a picture or part number of the key-less entry that you have? Or just let me know they are the factory key-less entry fob. If it is factory, are they new or used?
Was this
answer
helpful?
Yes
No
Tuesday, February 18th, 2020 AT 3:06 PM
Tiny
DDOT LLENRAP
  • MEMBER
  • 6 POSTS
This is what I got from keyecu. Com they assure me it the right part but I'm not so sure. Also was told that there was several ways to program including an ECU under the seat that my need to be reset? I'm not so sure. Any help would be great. If not no big deal. Thanks
Was this
answer
helpful?
Yes
No
Tuesday, February 18th, 2020 AT 6:52 PM
Tiny
DDOT LLENRAP
  • MEMBER
  • 6 POSTS
For Toyota:
FCC: GQ43VT14T
2+1 button
Keyecu. Com
Was this
answer
helpful?
Yes
No
Tuesday, February 18th, 2020 AT 7:04 PM
Tiny
KASEKENNY
  • MECHANIC
  • 18,907 POSTS
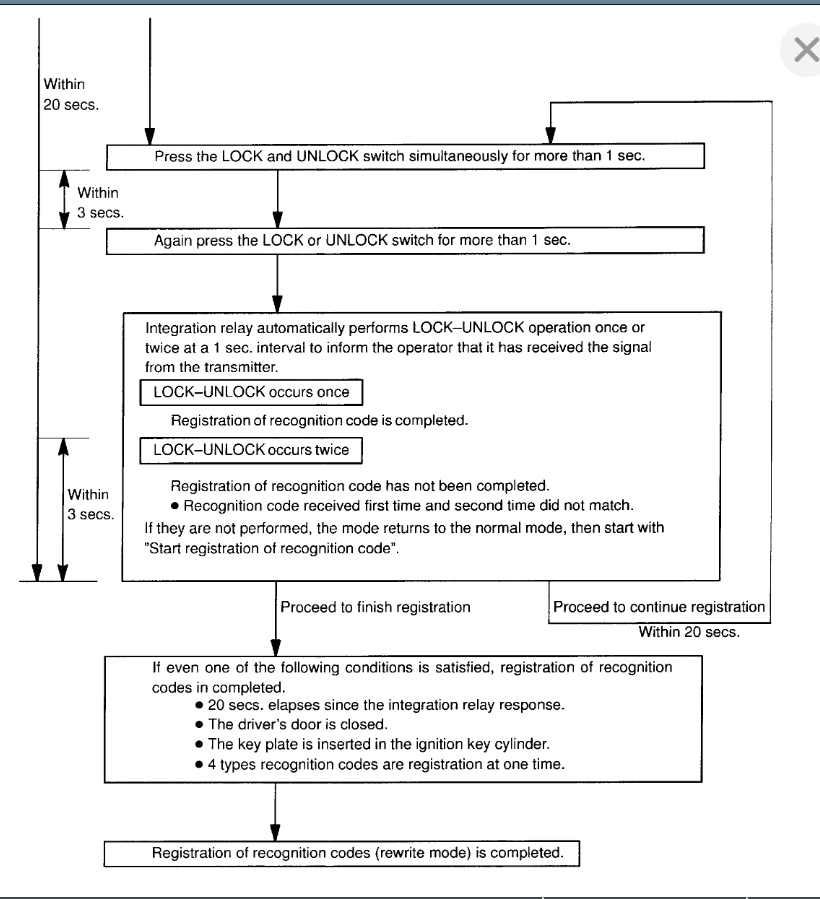
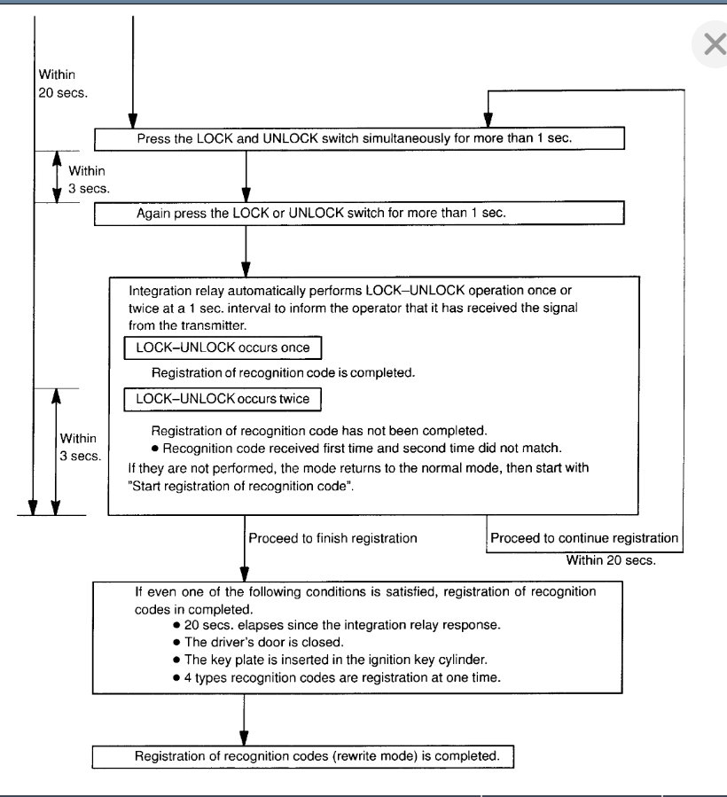
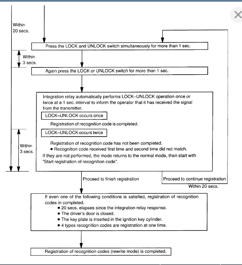
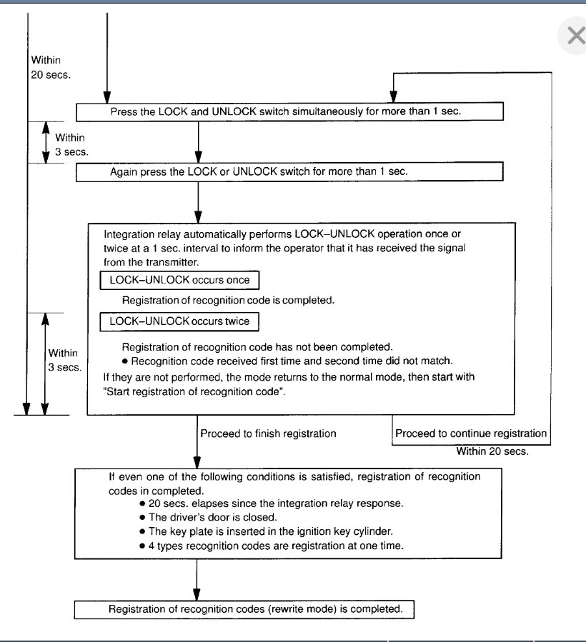
Okay. I included the process for this vehicle which is assuming this was a factory installed system as that is the fob that you appear to have. Keep in mind there were also dealer installed systems that have different fob's but are programmed the same way.

I read about these from this website and it seems like theirs say it doesn't matter which so if it doesn't program it is either the fob is wrong or there is an issue with the system.

Was this system working before and you just lost the fob or are you just trying to get this working now and never actually had any fob's since you bought it? Basically just looking for the backstory. Thanks
Was this
answer
helpful?
Yes
No
Wednesday, February 19th, 2020 AT 4:54 PM
Tiny
DDOT LLENRAP
  • MEMBER
  • 6 POSTS
I am just trying to get it working. Never actually had one for the car. But I angling to try this. Thanks for your help.
Was this
answer
helpful?
Yes
No
Wednesday, February 19th, 2020 AT 5:05 PM
Tiny
KASEKENNY
  • MECHANIC
  • 18,907 POSTS
Okay. That makes sense. Let me know and if it doesn't work.

If it were me and it doesn't work, I would just get a complete aftermarket system. They are not hard to install and pretty cheap these days.

It would be easier and probably cheaper in the long run then trying to figure out what happened and trying to get this one to work.

Let me know if this is a direction you want to go and I will be happy to help research a good kit for it with you.
Was this
answer
helpful?
Yes
No
+1
Wednesday, February 19th, 2020 AT 6:26 PM
Tiny
DDOT LLENRAP
  • MEMBER
  • 6 POSTS
Okay, thanks. I did try it went into program mode doors cycle I then proceeded to push lock unlocked an alarm went off, lol. Red button/light on dash next to dimmer and horn went crazy?
Was this
answer
helpful?
Yes
No
Wednesday, February 19th, 2020 AT 6:52 PM
Tiny
KASEKENNY
  • MECHANIC
  • 18,907 POSTS
Ugh. So it worked on the locks but didn't deactivate the alarm. Did the website send info on programming or troubleshooting? The diagram for this is saying that the ECM needs to be replaced and then you will need to set a new security code. Clearly this is not a reasonable solution so I am hoping we have some additional info to go on from them.
Was this
answer
helpful?
Yes
No
Thursday, February 20th, 2020 AT 6:11 PM
Tiny
DDOT LLENRAP
  • MEMBER
  • 6 POSTS
No they sent nothing. Reason why I search the web an found you.
Was this
answer
helpful?
Yes
No
Friday, February 21st, 2020 AT 12:53 PM
Tiny
KASEKENNY
  • MECHANIC
  • 18,907 POSTS
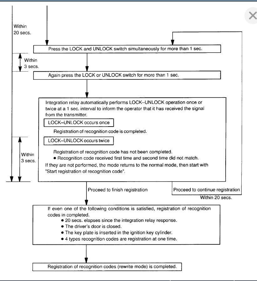
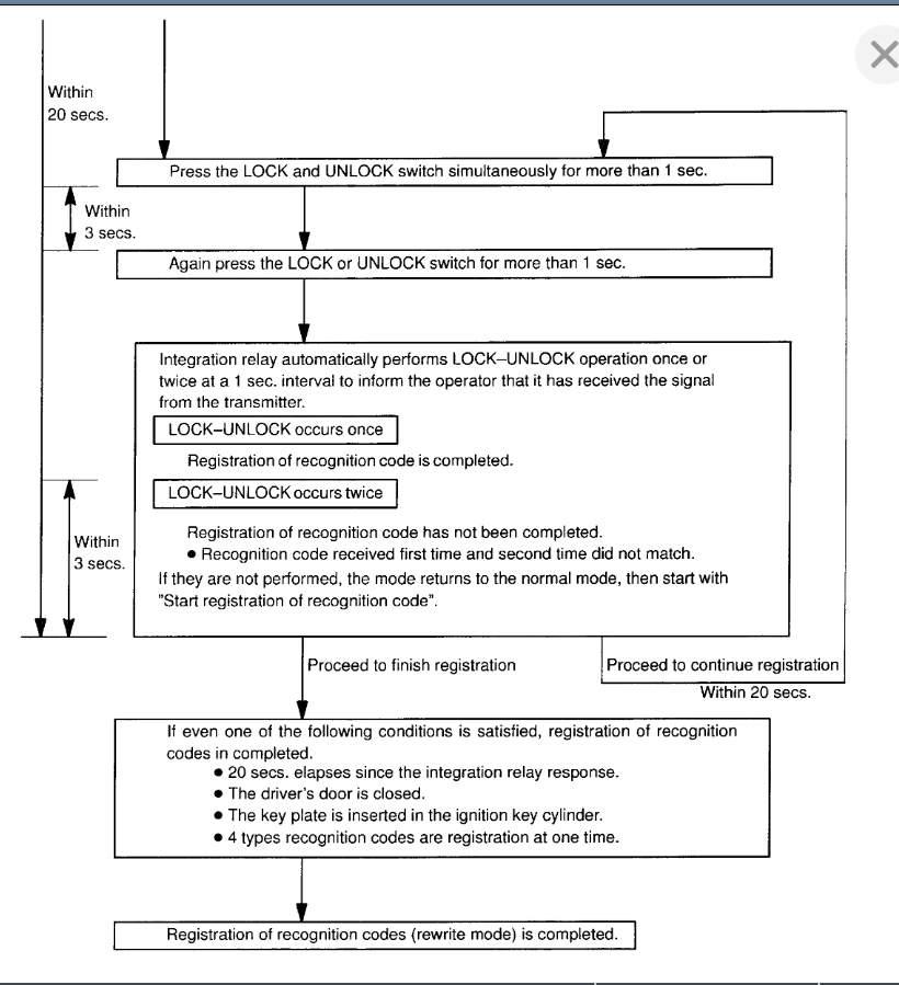
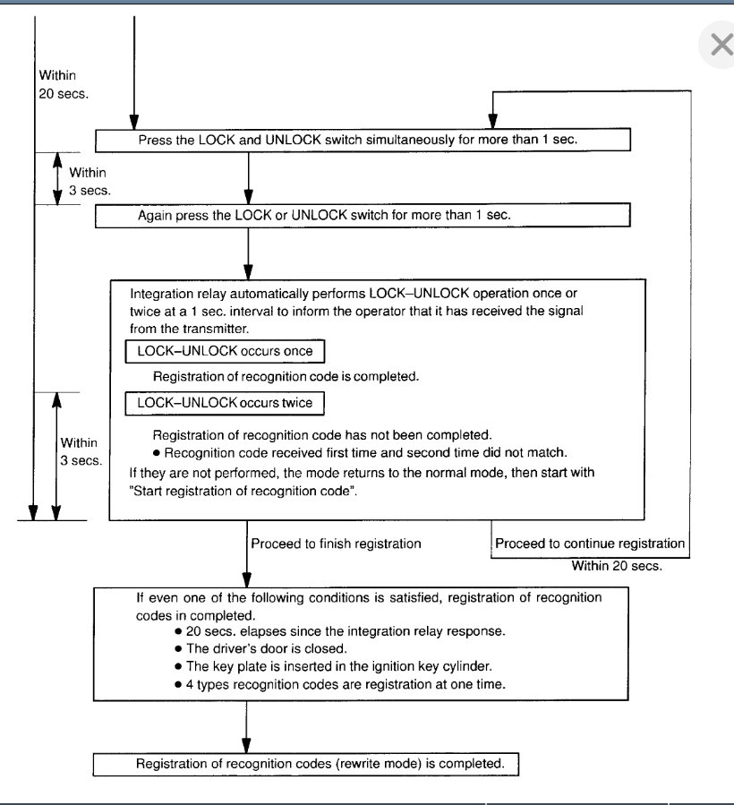
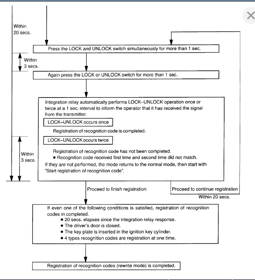
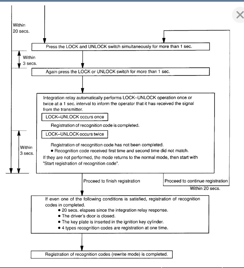
Okay. Let's try programming it as if it were a factory installed component. Try this process and let me know what happens. You do all of this while sitting in the vehicle. Some people get confused because they assume they are to be outside where they would use the remote.
Was this
answer
helpful?
Yes
No
Friday, February 21st, 2020 AT 5:33 PM

Please login or register to post a reply.