Speedometer went down to 0 while driving, D4 light flashing

Tiny
GODWINZH
  • MEMBER
  • 1994 HONDA ACCORD
  • 4 CYL
  • 2WD
  • AUTOMATIC
  • 60,000 MILES
My car has been running very well except in the last few weeks, the engine randomly stalls when driving at low speed (less than 10 mile/h). But today, I was driving at 60 mile/h on a freeway, the speedometer suddenly dropped to 0 for about a minute. Then came back to normal and the D4 light was flashing. But the car was still running great and I didn't feel anything wrong.
I searched online and did a paper clip trick to get the Code. I believe the codes were 4, 15. It went like this: 4 short blink, pause, 1 long blink, pause, 5 short, then a longer pause, then repeat.
Is this the speed sensor problem? Is it related to the engine stalling problem too?
Thursday, February 27th, 2020 AT 12:39 AM

20 Replies

Tiny
SCGRANTURISMO
  • MECHANIC
  • 4,897 POSTS
Hello,

In the diagrams down below I have included the instructions on how to pull Direct Trouble Codes[DTC][s] from the Data Link Connector[DLC] and a list of DTCs for your vehicle. Please go through these guides and get back to with the DTC from the list and we will send you specific instructions to fix the problem.

Thanks,
Alex
2CarPros
Was this
answer
helpful?
Yes
No
+1
Thursday, February 27th, 2020 AT 1:47 AM
Tiny
GODWINZH
  • MEMBER
  • 6 POSTS
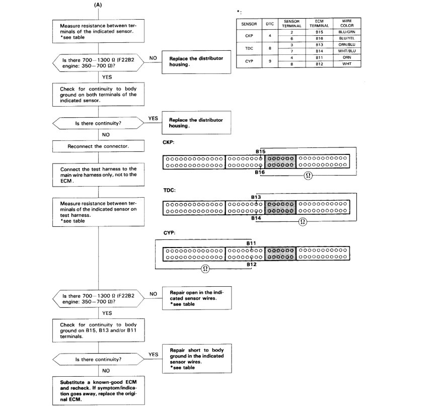
Alex, thank you so much! I have been searching online about the DLC code, but this is the only clear and complete documentation about the system. According to your instructions, the Check Engine light should be flashing when shorting the Service Check connector. However in my case, only the D4 light was flashing. Did they mean the same? Now I am sure the numbers I got were 4, 15, which according to your list, mean Crankshaft Position CKP sensor and Ignition Output Signal respectively. Could you give me a little bit of explanation?
Was this
answer
helpful?
Yes
No
Thursday, February 27th, 2020 AT 7:09 PM
Tiny
SCGRANTURISMO
  • MECHANIC
  • 4,897 POSTS
Hello,

Okay, so to clarify this is an On Board Data 1[OBD1] system and not an OBD2 system. OBD2 is the standard today and every vehicle sold in the United States was required to have the OBD2 system on it from 1996 until now. The OBD2 system made all of the DTC's standard and greatly improved everything. So with this in mind, and I love Honda's, I actually went to college and took the Honda PACT[Professional Automotive Career Training] courses, so Honda trained me, Honda has 2 different sets of DTC's for their blink codes, one for the engine and one for the transmission. I think we are going to be working with the transmission guides here, but I have included all of them for you in the diagrams down below. Please go through these and get back to us with what you find out.

Thanks,
Alex
2CarPros
Was this
answer
helpful?
Yes
No
+1
Thursday, February 27th, 2020 AT 10:05 PM
Tiny
GODWINZH
  • MEMBER
  • 6 POSTS
That's wonderful! I really appreciate the information you provided. I am going to do my home work and get back to you in a couple days.
Thanks

Godwin
Was this
answer
helpful?
Yes
No
Thursday, February 27th, 2020 AT 11:10 PM
Tiny
SCGRANTURISMO
  • MECHANIC
  • 4,897 POSTS
Hello again,

Sounds good. If you need any help with or clarification of anything in the guides or component locations, please, don't hesitate to ask.

Thanks,
Alex
2CarPros
Was this
answer
helpful?
Yes
No
Thursday, February 27th, 2020 AT 11:28 PM
Tiny
GODWINZH
  • MEMBER
  • 6 POSTS
Hi Alex,

Something happened on Friday and Saturday. My car used to stall only at low speed. But on Friday, I was driving on a freeway around 60m/h, my car suddenly lost power completely and slowed down. Stepping on the gas pedal had no help. But it’s strange that the engine was still running around 2000 rpm. A few seconds later the engine died. I pushed the transmission to the neutral position and restarted the car. It then worked fine afterward.
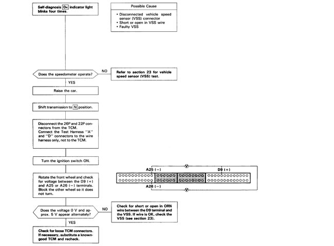
On Saturday, Same thing happened again on a freeway. But I wasn’t that lucky. The car kept stalling every few minutes for around 5 to 6 times. So I ended up towing the car home. I checked the DTC code again. It was still the 4 and 15 with D4 flashing.

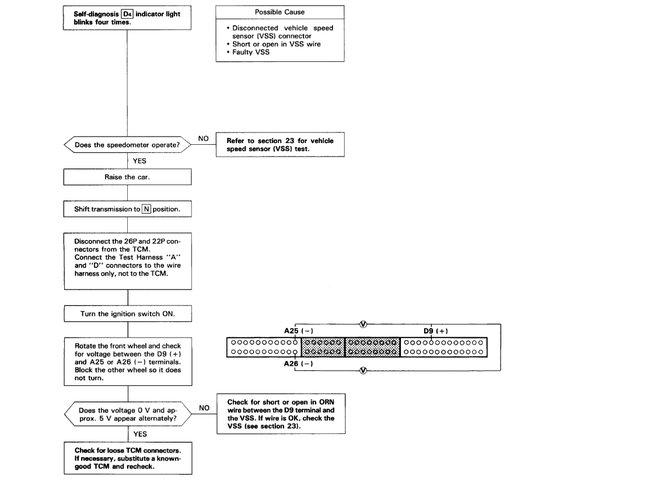
Today, I spent a whole day studying the documentation you gave me, searching Google and following the procedures to test my car. I mainly focus on the transmission DTC code since only the D4 was flashing. I managed to find the Main shaft Speed Sensor, the TCM and did all the tests.

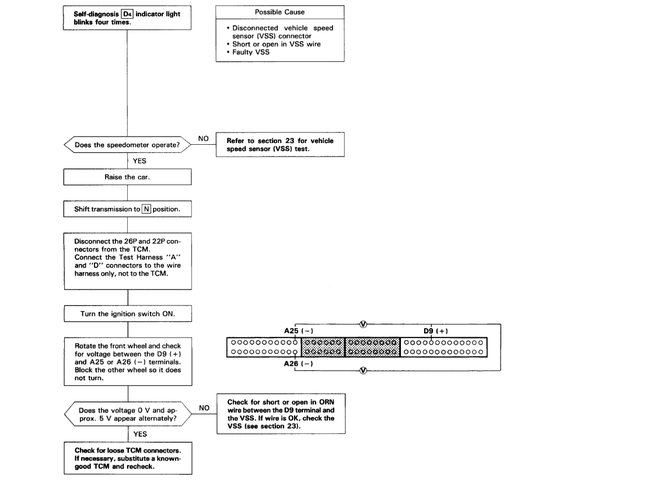
On the Transmission DTC code 4 troubleshooting, I reached the last step: Check for loose TCM connector or substitute a good TCM and recheck.

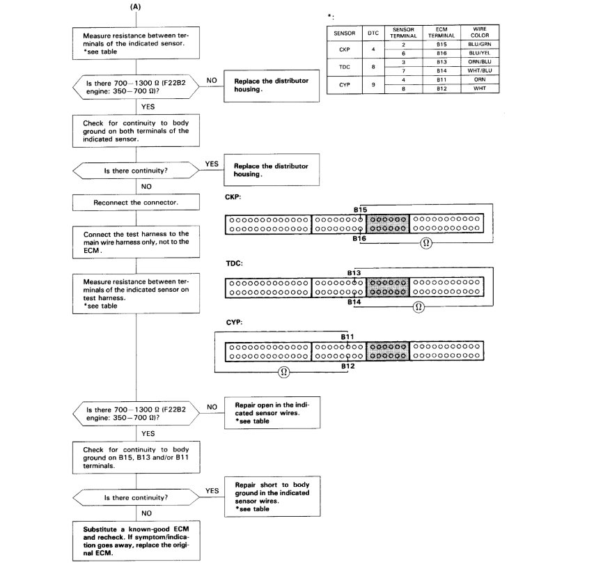
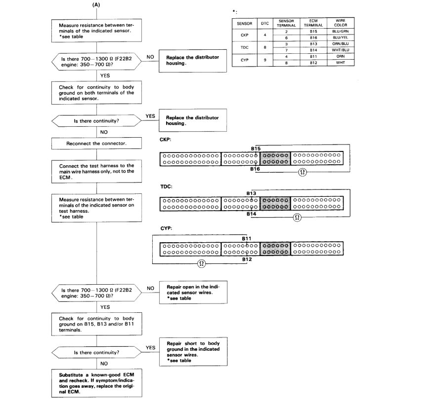
On the Transmission DTC code 15 troubleshooting, I reached the step that reconnecting the Mainshaft Speed Sensor and measure the resistance between D19 and D12. The resistance was 400-600 Ohm, and the conclusion was to run Electrical Troubleshooting for code 9; Check for loose TCM connector or substitute a good TCM and recheck.

It seemed to me that both main shaft speed sensor and vehicle speed sensor were OK. What should I do next?

My car was able to drive again today but I felt unsafe to drive it because the problem could come back anytime in any situation.

Thank you so much for your help!

Godwin
Was this
answer
helpful?
Yes
No
Monday, March 2nd, 2020 AT 1:31 AM
Tiny
SCGRANTURISMO
  • MECHANIC
  • 4,897 POSTS
Hello,

Okay, so if the TCM electrical connectors are all okay then it sounds like the TCM might be failing and needs to be replaced. In the diagrams down below I have included the instructions for the removal and installation of the TCM for your vehicle. Please go through this guide and get back to us with how everything turns out.

Thanks,
Alex
2CarPros
Was this
answer
helpful?
Yes
No
Monday, March 2nd, 2020 AT 3:34 PM
Tiny
GODWINZH
  • MEMBER
  • 6 POSTS
Hi Alex,
Did you include diagrams? I don't see them.
Thanks,
Godwin
Was this
answer
helpful?
Yes
No
Monday, March 2nd, 2020 AT 8:31 PM
Tiny
SCGRANTURISMO
  • MECHANIC
  • 4,897 POSTS
Hello again,

Sorry about that. Here they are.

Thanks,
Alex
2CarPros
Was this
answer
helpful?
Yes
No
Monday, March 2nd, 2020 AT 11:42 PM
Tiny
GODWINZH
  • MEMBER
  • 6 POSTS
I got the instructions, thank you so much! If I buy a new or a used TCM, do I need to do any configuration or any preparation before replacing the existing one?
Thanks

Godwin
Was this
answer
helpful?
Yes
No
Wednesday, March 4th, 2020 AT 10:20 PM
Tiny
KEN L
  • MASTER CERTIFIED MECHANIC
  • 55,512 POSTS
You should be plug and play. Please let us know what happens.
Was this
answer
helpful?
Yes
No
Monday, March 9th, 2020 AT 1:28 PM
Tiny
GODWINZH
  • MEMBER
  • 6 POSTS
Last week, I found some videos on YouTube suggesting a faulty main relay might be the reason for the engine random stalling problem. I pulled out the main relay and did find cracks on a couple of solder joints on the PCB inside the relay. I fixed it myself because I am very good at electronics. I also replaced the Vehicle Speed Sensor because the speedometer dropped to 0 multiple times while I was driving. Since then, I have been driving my car for 4 days. So far so good, don’t have any problem.
But I don’t know how to clear the DTC codes. I pulled out the fuse for the ECU inside the fuse box under the steering wheel. But the codes are still there. Do I have to disconnect the battery terminal?
Was this
answer
helpful?
Yes
No
Monday, March 9th, 2020 AT 10:51 PM
Tiny
KEN L
  • MASTER CERTIFIED MECHANIC
  • 55,512 POSTS
Good find on that problem. To clear the codes remove the negative battery cable for 5 minutes and reconnect they should be cleared.
Was this
answer
helpful?
Yes
No
Tuesday, March 10th, 2020 AT 12:20 PM
Tiny
GODWINZH
  • MEMBER
  • 6 POSTS
Yes, I disconnected the battery negative terminal for 5 minutes and reconnected it back. I then shorted the service connector and turned the ignition key on to check the code. The D4 light was off but the Check Engine light was steady on and didn’t go away. Well, before I disconnected the battery cable, the Check Engine light flashed the code 17, indicating the VSS problem. That’s why I replaced the VSS last week. But now the Check Engine light is steady on without flashing any code. What does it mean?
Was this
answer
helpful?
Yes
No
Friday, March 13th, 2020 AT 12:56 AM
Tiny
SCGRANTURISMO
  • MECHANIC
  • 4,897 POSTS
Hello again,

In the diagrams down below I have included a flowchart from the vehicle manufacturer for the Direct Trouble Code[DTC] 17 for your vehicle. Please go through this guide and get back to us with what you find out.

Thanks,
Alex
2CarPros
Was this
answer
helpful?
Yes
No
Friday, March 13th, 2020 AT 2:44 AM
Tiny
GODWINZH
  • MEMBER
  • 6 POSTS
Hi Alex,
Thank you for the troubleshooting diagrams. I downloaded and saved them.

I got the D4 flashing code 4 before, which is VSS problem. I went through the troubleshooting procedure you gave me but didn’t find anything wrong with the sensor. Your recommendation earlier was to replace a new TCM. I later got the Check Engine Code 17 which was similar to the D4 code 4. Since this was an intermittent problem, I decided to replace the vehicle speed sensor first because it’s cheaper than replacing the TCM. My car has been running for a week without any problem since then.

Now the only issue is, the Check Engine Light was steady on when shorting the Service Connector. I disconnected the battery to reset the TCM and ECM. But the Check Engine light became steady on, and was not flashing any code. What did it mean?
Was this
answer
helpful?
Yes
No
Sunday, March 15th, 2020 AT 10:54 PM
Tiny
SCGRANTURISMO
  • MECHANIC
  • 4,897 POSTS
Hello again,

Okay, in the diagrams down below I have included the procedure for clearing the Malfunction Indicator Lamp[MIL, or "check engine" lamp for your vehicle. Please go through this guide and get back to us with how everything turns out.

Thanks,
Alex
2CarPros
Was this
answer
helpful?
Yes
No
Tuesday, March 17th, 2020 AT 10:13 AM
Tiny
GODWINZH
  • MEMBER
  • 6 POSTS
Hi Alex,
Sorry I didn't respond earlier due to the corona-virus issue. I think the procedure you posted last week was not really related to my situation. First, the MIL won't come in normal operation. It only lights up when I plug the jumper into the service connector. It was steady on, no blinking. (The D4 light never come on again after I fixed the main relay and replaced the VSS). Second, I did remove the battery negative terminal for more then 10 minutes. Since then, my car has been driven for more that two weeks. But it still didn't clear the MIL. Does it indicate anything wrong?

Thanks
Was this
answer
helpful?
Yes
No
Thursday, March 26th, 2020 AT 5:23 PM
Tiny
SCGRANTURISMO
  • MECHANIC
  • 4,897 POSTS
Hello again,

Okay, if the MIL doesn't come on during normal operation then there shouldn't be any problems.

Thanks,
Alex
2CarPros
Was this
answer
helpful?
Yes
No
Thursday, March 26th, 2020 AT 6:05 PM
Tiny
GODWINZH
  • MEMBER
  • 6 POSTS
Hi Alex,

Thank you again for being so helpful, much appreciated.

Godwin
Was this
answer
helpful?
Yes
No
Saturday, March 28th, 2020 AT 7:25 PM

Please login or register to post a reply.