Valve clearance setting procedure needed

Tiny
TEAMBSI
  • MEMBER
  • 2010 CHEVROLET SPARK
  • 0.8L
  • 3 CYL
  • 2WD
  • MANUAL
  • 311,341 MILES
Hi, please provide me with the valve clearance settings and steps. My cylinder head only has one rocker shaft.
Monday, May 30th, 2022 AT 7:44 AM

4 Replies

Tiny
SQM
  • MECHANIC
  • 6,383 POSTS
Hello,

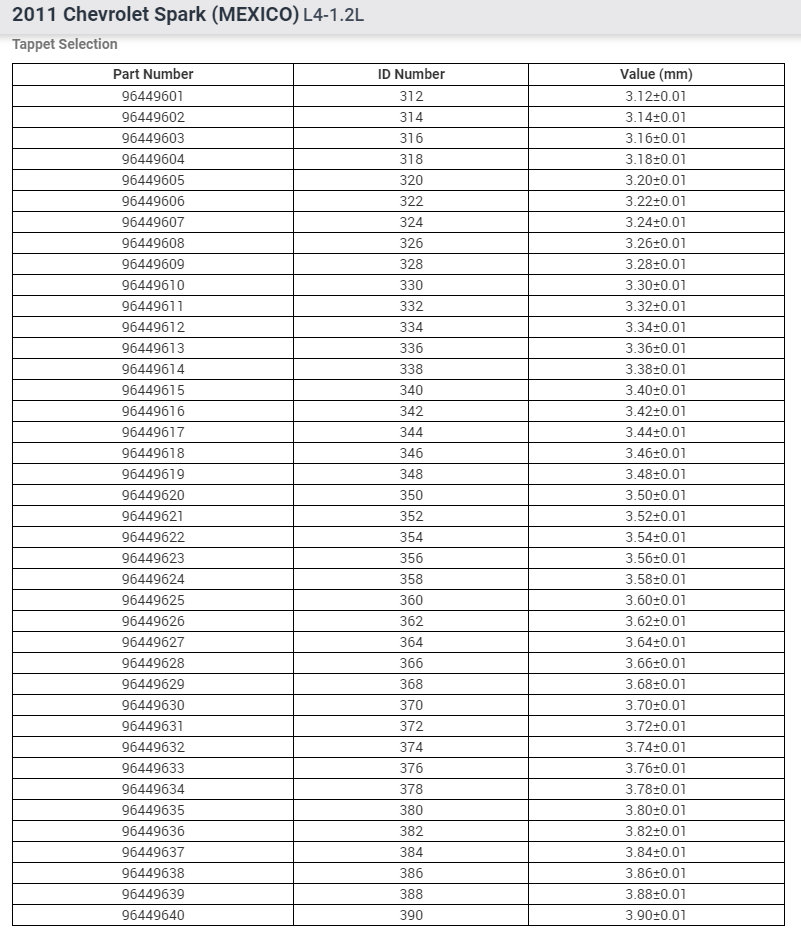
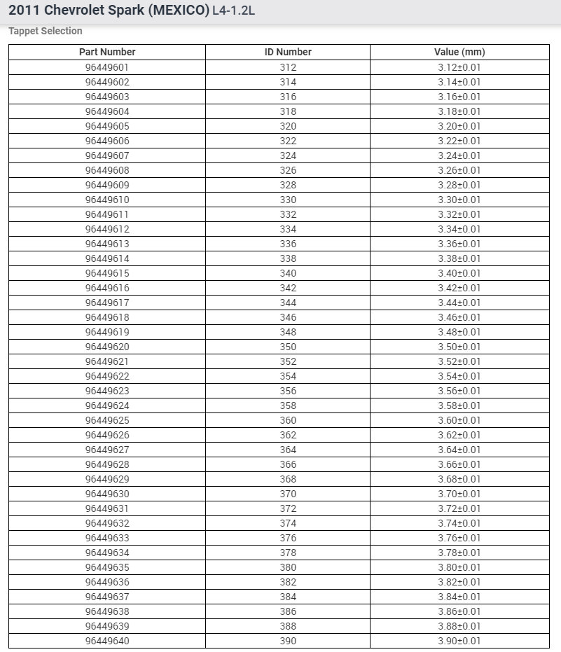
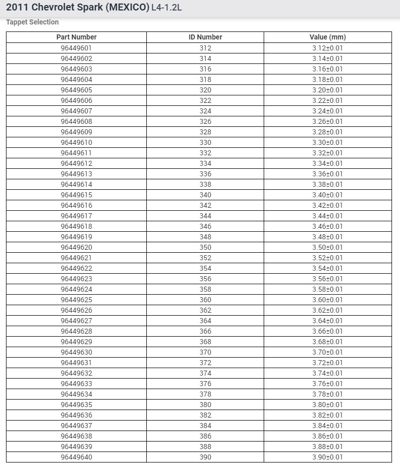
See attached for the valve adjustment procedure.

Let me know of any questions.

Thank you.
Was this
answer
helpful?
Yes
No
-1
Monday, May 30th, 2022 AT 8:00 AM
Tiny
TEAMBSI
  • MEMBER
  • 38 POSTS
  • 2010 CHEVROLET SPARK
  • 0.8L
  • 3 CYL
  • 2WD
  • MANUAL
  • 311,341 MILES
Hi, please provide me with the detailed valve clearance setting. I got the clearance on this platform, but it was for the cylinder head with the 2 rocker shafts. Mine only has 1 rocker shaft.
Was this
answer
helpful?
Yes
No
Sunday, January 8th, 2023 AT 3:45 PM (Merged)
Tiny
KEN L
  • MASTER CERTIFIED MECHANIC
  • 55,291 POSTS
We only show two camshaft engines for this car, can you double check the year and engine type please? Here is what they show in the images below.
Was this
answer
helpful?
Yes
No
Sunday, January 8th, 2023 AT 6:03 PM
Tiny
TEAMBSI
  • MEMBER
  • 38 POSTS
Hi Ken,

Thanks for your response. As for the type of engine, mine is the F8CV COIL PACK engine. Your one is the Carburetor. I'm including my VIN number as well.
Regards,
Bernard
Was this
answer
helpful?
Yes
No
Sunday, January 8th, 2023 AT 9:30 PM

Please login or register to post a reply.