Sunday, July 12th, 2020 AT 4:11 PM
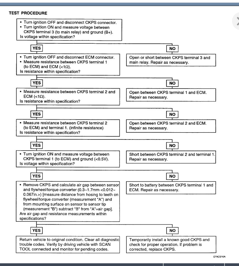
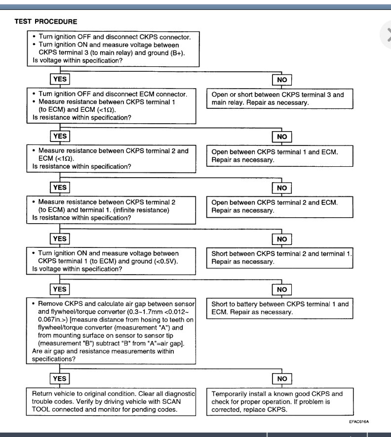
Crank sensor wires had cracked insulation and shorted changed that and now getting codes p0335, p1505, p1507 and p0445. Did I fry the ECM?





