Serpentine belt diagram needed

Tiny
LILTINY247
  • MEMBER
  • 2008 MERCEDES BENZ CLS63
  • 6.3L
  • V8
  • AUTOMATIC
  • 90,000 MILES
I am trying to put the belt on, but I cannot find the right diagram.
Saturday, September 2nd, 2017 AT 1:21 PM

1 Reply

Tiny
JDL
  • MECHANIC
  • 16,098 POSTS
Is this a 6.3L engine? Sometimes there is a belt routing decal, under the hood?
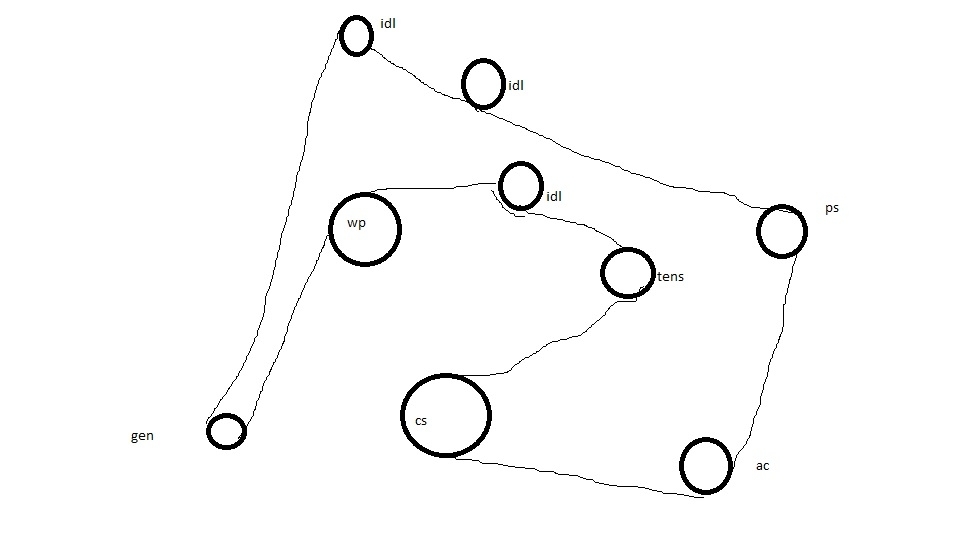
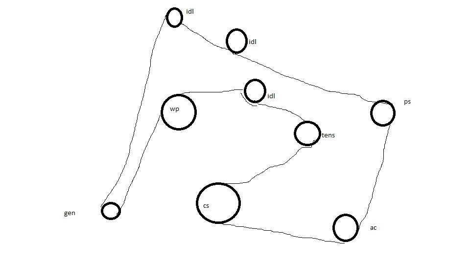
My free-hand is not very good, I labeled the pulleys. I do not know if this is what you have?
I found the belt routing in a tune-up manual, 2008 Mercedes 6.3L engine.
Was this
answer
helpful?
Yes
No
Saturday, September 2nd, 2017 AT 2:39 PM

Please login or register to post a reply.