No fuel out of fuel injectors?

Tiny
WLENT007
  • MEMBER
  • 1988 CHEVROLET 1500
  • 5.0L
  • V8
  • 2WD
  • AUTOMATIC
  • 249,000 MILES
I have rebuilt the carburetor, and replaced the fuel injectors, yet there is still no fuel coming out of either injector.
Tuesday, January 17th, 2023 AT 3:24 PM

3 Replies

Tiny
WLENT007
  • MEMBER
  • 3 POSTS
We have also replaced the fuel pump and filter.
Was this
answer
helpful?
Yes
No
Tuesday, January 17th, 2023 AT 3:28 PM
Tiny
ALEX STATHAS
  • MEMBER
  • 71 POSTS
How can a pickup truck have both a carburetor and fuel injectors? Back in the 1990s I had a car with a carburetor and it was a 1986 Mercury Lynx Wagon and it would not start because it did not have computerized fuel injection to start it automatically without me needing to push down on the gas pedal or accelerator pedal, anyway I have heard that fuel injected GM cars of the 1980s with throttle body fuel injection had electronic control module failure or fuel injection computer failure which would cause them to turn over but not start as if they were out of gasoline, was the throttle body fuel injection computer tested?
Was this
answer
helpful?
Yes
No
Tuesday, January 17th, 2023 AT 3:47 PM
Tiny
JACOBANDNICKOLAS
  • MECHANIC
  • 110,192 POSTS
I just realized this link is from two different people. I only saw the last one. As you are aware, it will have either a carburetor or fuel injection. I suspect when you say carburetor you are referring to the throttle body.

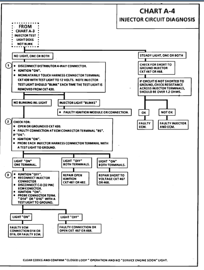
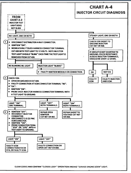
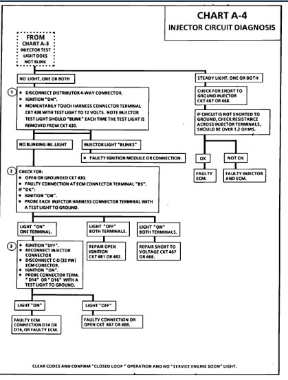
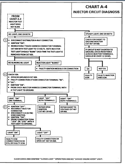
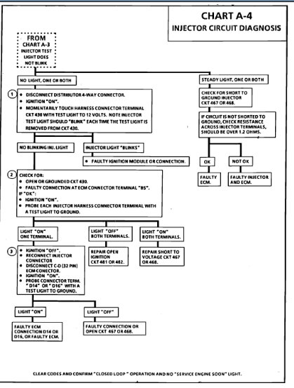
I attached an exploded view of the throttle body with injectors. Please confirm that this is what you have.

Next, the throttle body injectors (TBI) are controlled by the engine control module (ECM). We may have a wiring issue, a failing ECM, or even a failed fuse.

Pic 1 below is an exploded view of the TBI and the remaining pics are the diagnostics for the injectors. Take a look through them and let me know if you have questions.

Take care,

Joe

See pics below.
Was this
answer
helpful?
Yes
No
Wednesday, January 18th, 2023 AT 12:52 PM

Please login or register to post a reply.