Have no spark

Tiny
JOHNNATHAN HAMMOND
  • MEMBER
  • 1992 HOLDEN RODEO
  • 2.6L
  • 4 CYL
  • 2WD
  • AUTOMATIC
  • 300 MILES
I have power to coil but no spark. I have changed the coil, condenser, ignition module.
Saturday, April 21st, 2018 AT 1:14 AM

3 Replies

Tiny
HARRY P
  • MECHANIC
  • 2,296 POSTS
I suggest taking a look at the Crankshaft Position Sensor. Is the service engine light on? If so, you should get the codes pulled and see what it says.
Was this
answer
helpful?
Yes
No
-1
Saturday, April 21st, 2018 AT 3:25 AM
Tiny
JOHNNATHAN HAMMOND
  • MEMBER
  • 2 POSTS
No lights. On the motor where is the crank sensor?
Was this
answer
helpful?
Yes
No
+1
Saturday, April 21st, 2018 AT 4:05 AM
Tiny
PATENTED_REPAIR_PRO
  • MECHANIC
  • 1,853 POSTS
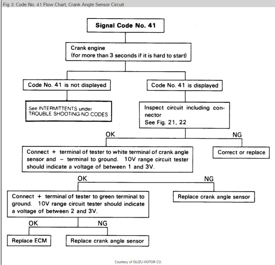
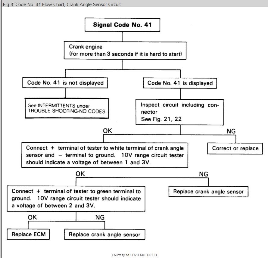
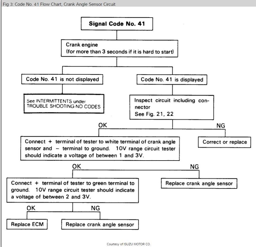
There is a crank angle sensor inside the distributor.
That would usually set a code 41 though if it were bad.
Here is a test,
CODE 41 - CRANK ANGLE SENSOR SIGNAL > DIAGNOSTIC AID
Disconnect crank angle sensor harnesses at crank angle sensor connector.
Disconnect all connectors at ECM.
Turn ignition "on". Measure resistance between terminals 34 and white, 35 and green and black and ground. Resistance should be zero.
Measure voltage between green/black and ground. Voltage should be 10-14 volts.
When circuit is found to be in normal condition, replace distributor assembly.
Was this
answer
helpful?
Yes
No
Saturday, April 21st, 2018 AT 6:20 AM

Please login or register to post a reply.