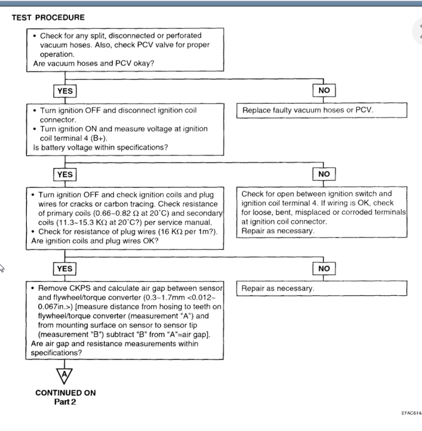
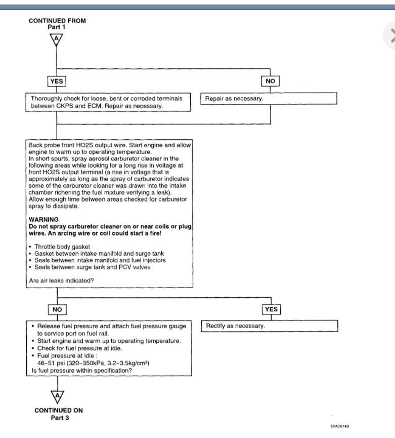
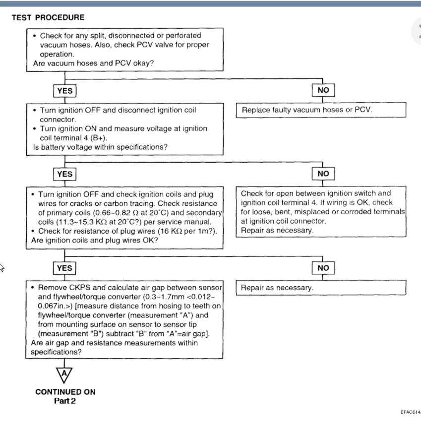
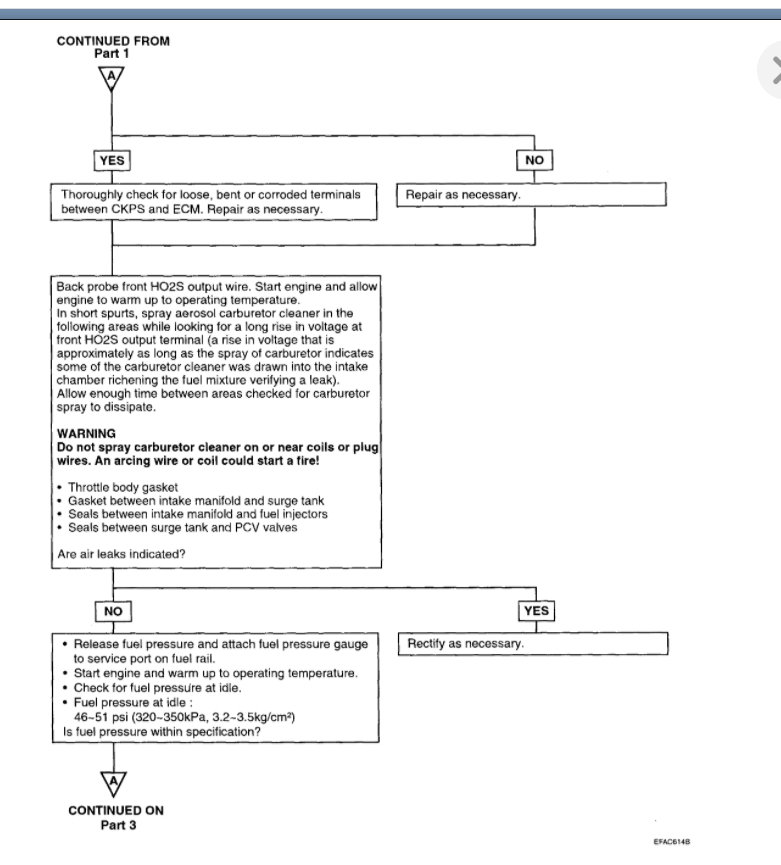
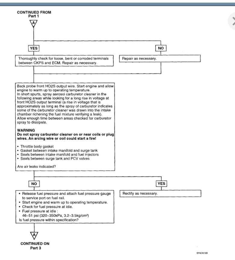
Diagnosis codes 302 or 501

Tiny
AMANDA BLEVINS
  • MEMBER
  • 2003 HYUNDAI SANTA FE
  • 2.7L
  • 6 CYL
  • 2WD
  • AUTOMATIC
  • 108,000 MILES
Can’t find out about either camshaft sensor or crankshaft sensor either 302 or 501.
Keep trying to reset codes but not correcting.
The car keeps losing power as we’re trying to drive it has no power and has little jerks as I’m trying to get it up to speed
Saturday, February 20th, 2021 AT 2:57 PM

1 Reply

Tiny
KASEKENNY
  • MECHANIC
  • 18,907 POSTS
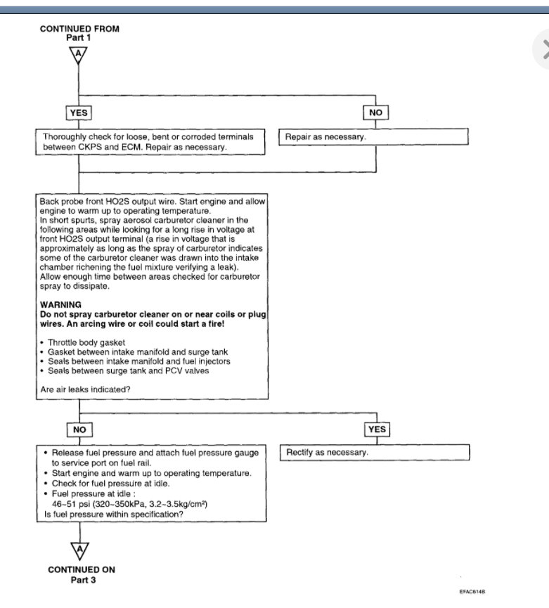
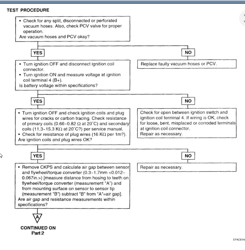
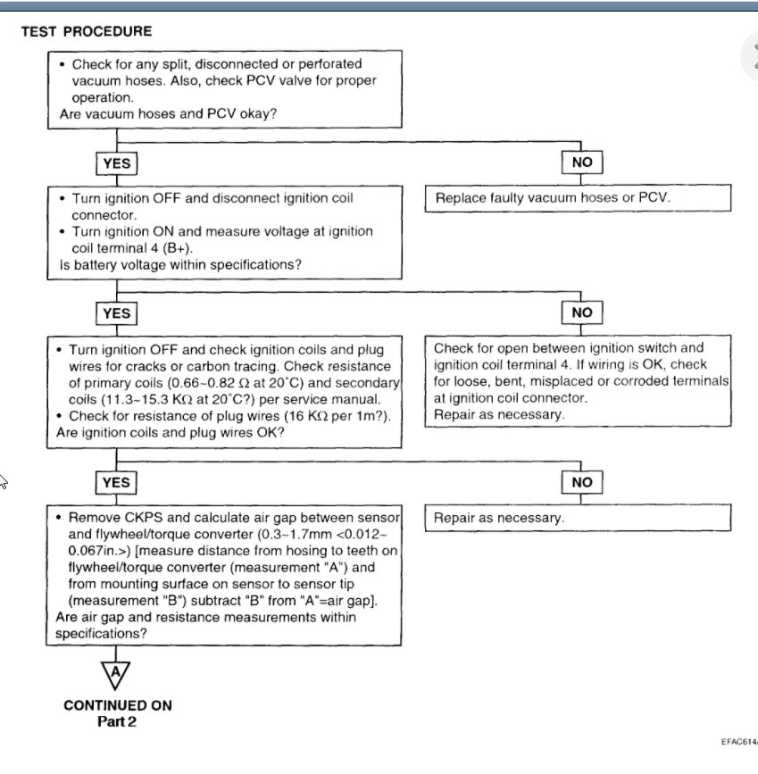
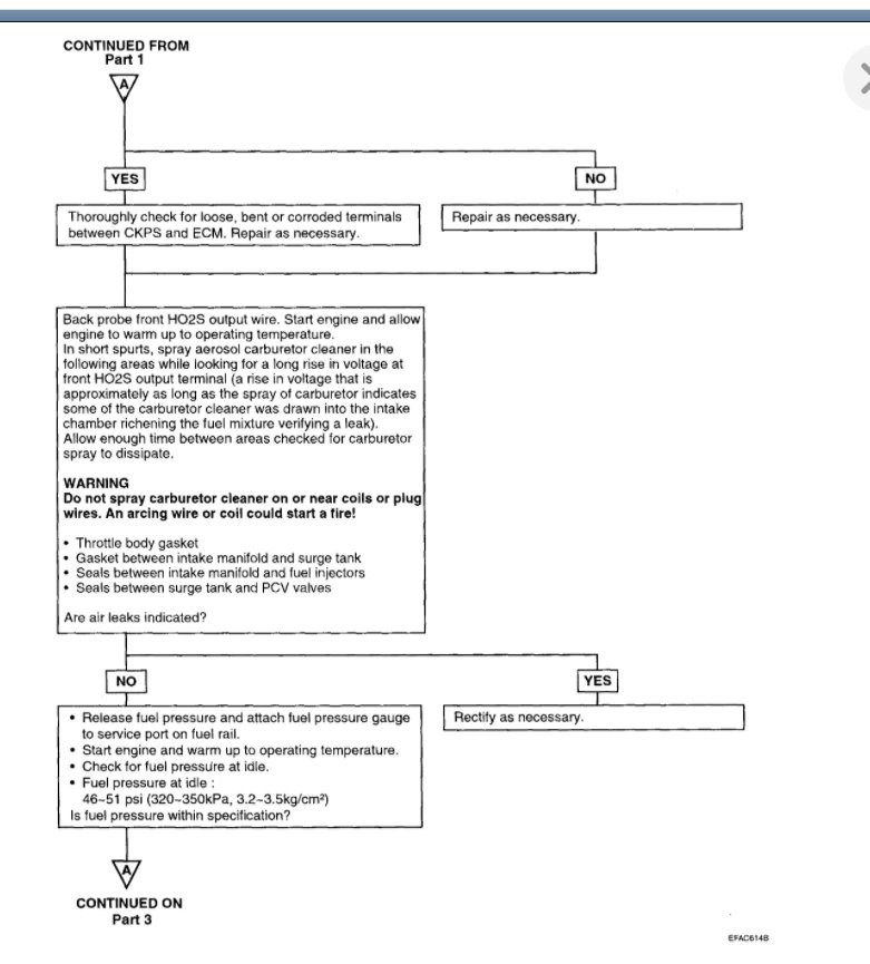
I am not sure if we have the same codes as the P0302 and P0501 are not for the cam and crank sensor.

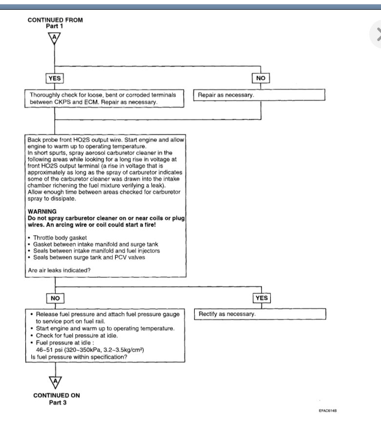
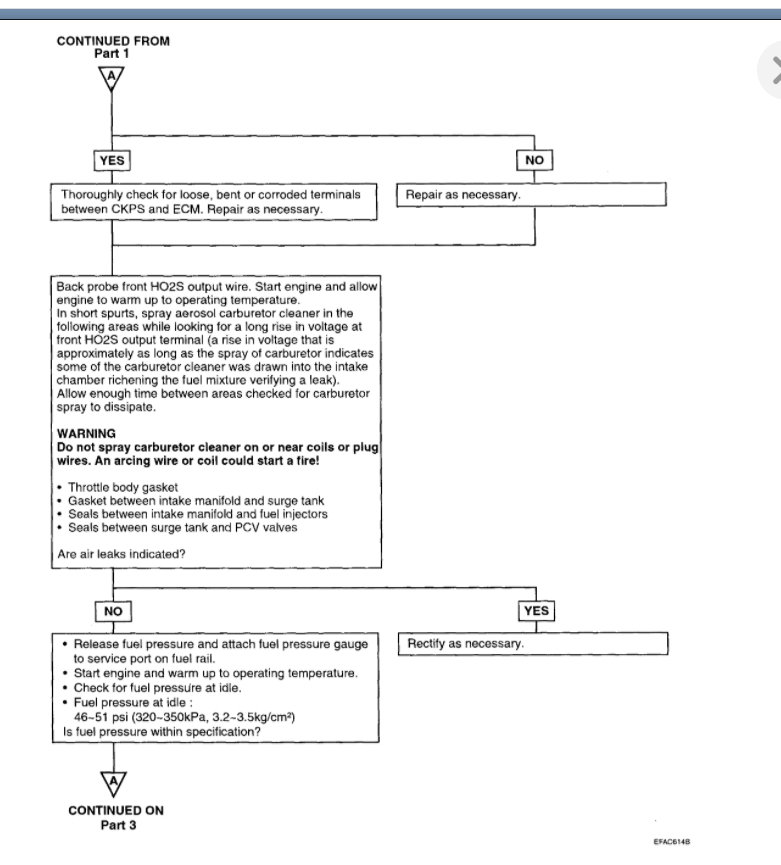
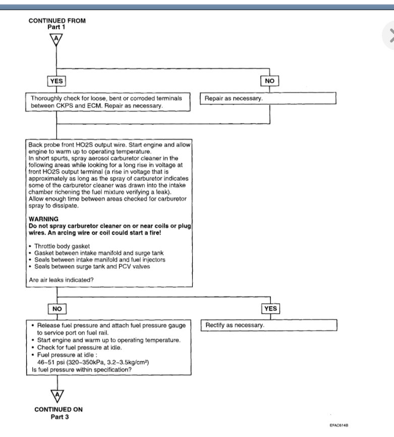
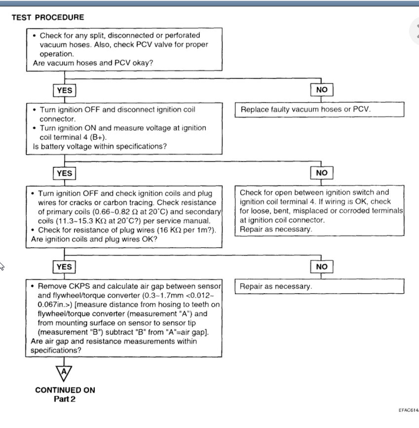
I attached the info below for these codes and we need to run through both of these and figure out what the issue is. I suspect the speed sensor code (p0502) is causing most of the issues. However, you are not going to be able to just clear them so let me know what questions you have and we can go from there.

Thanks
Was this
answer
helpful?
Yes
No
Sunday, February 21st, 2021 AT 4:25 PM

Please login or register to post a reply.