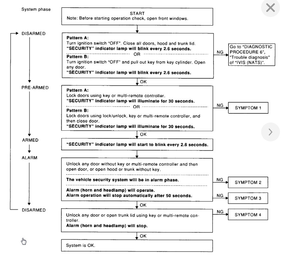
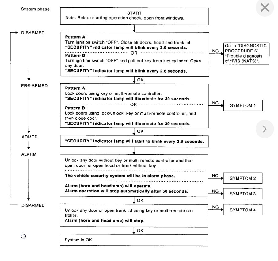
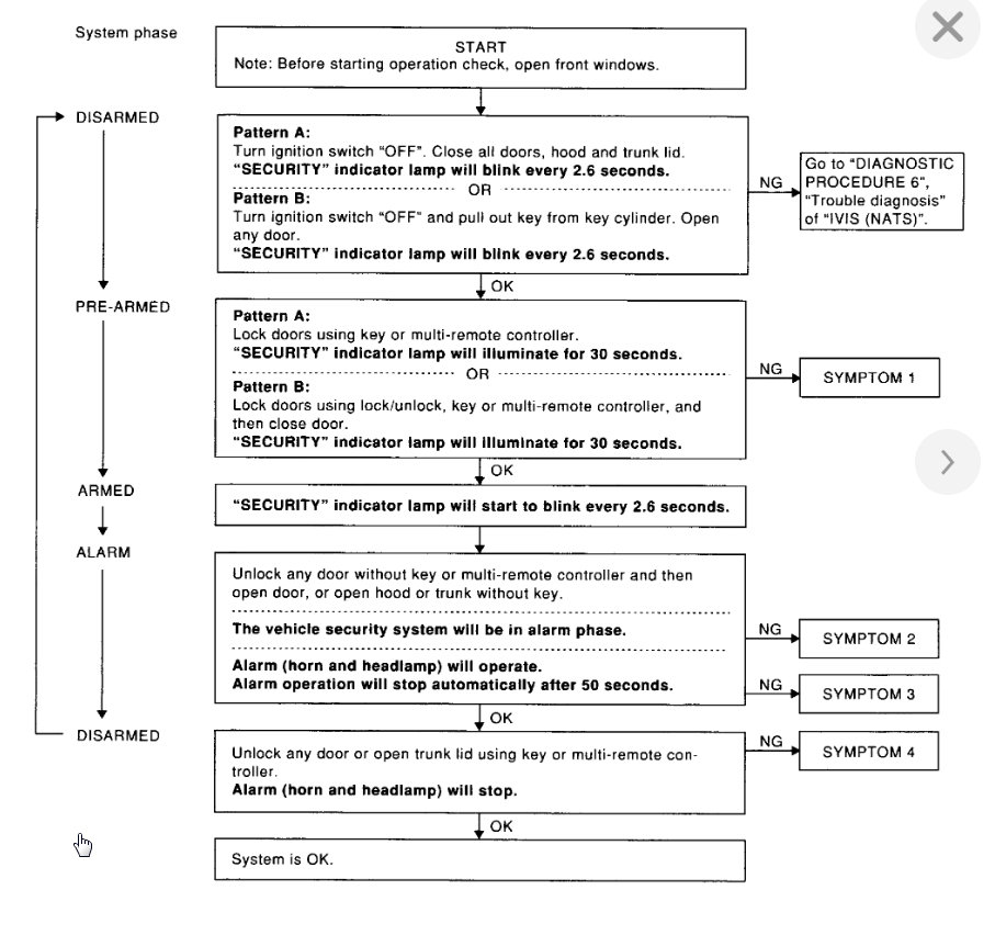
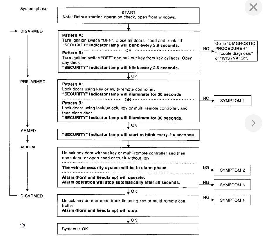
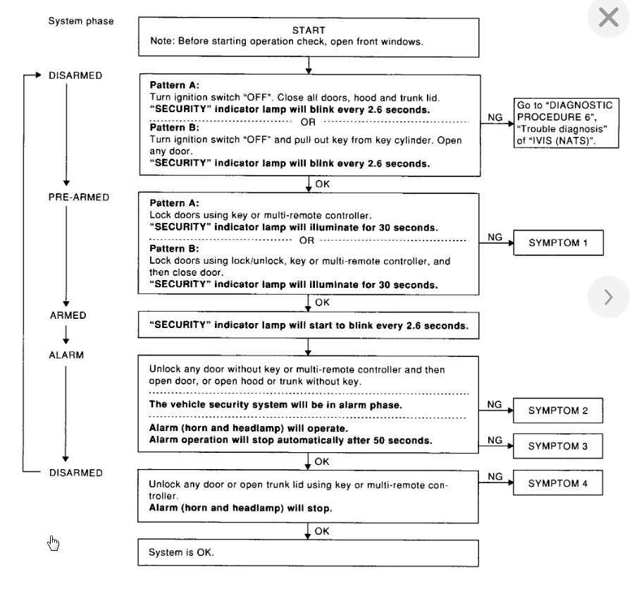
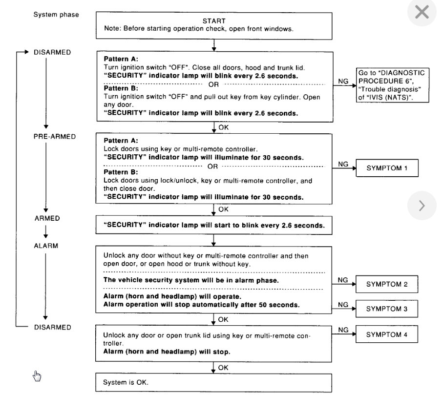
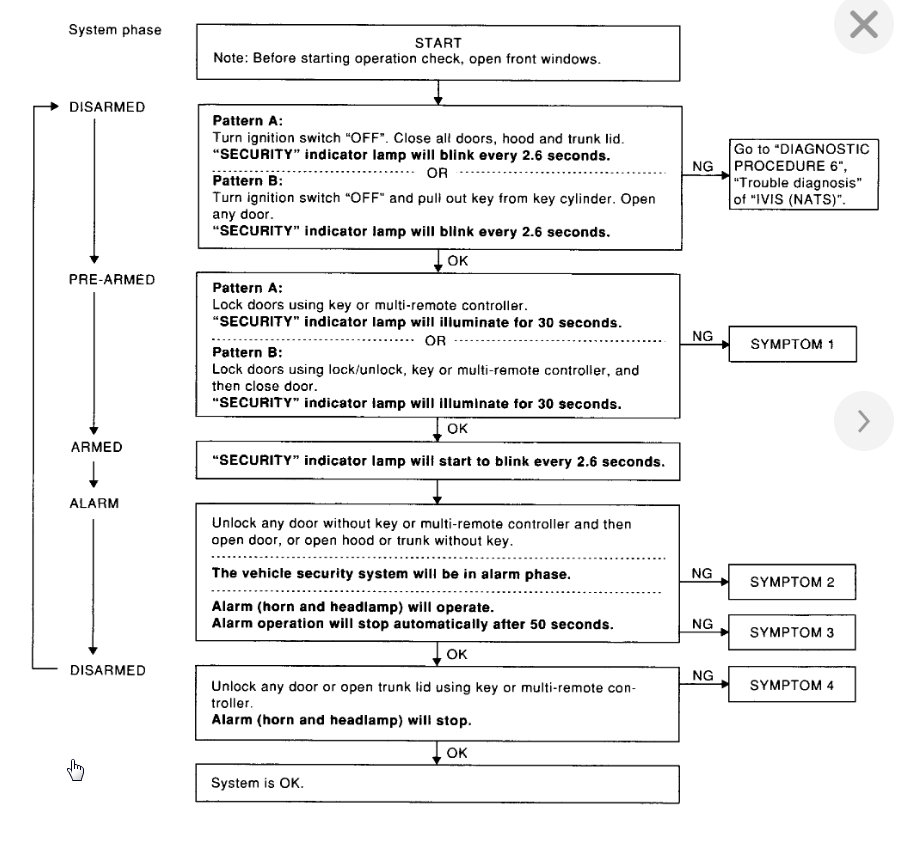
Friday, November 1st, 2019 AT 7:00 AM
I put a new battery in and it won't start now. When I connected new battery the horn went off used the key in driver's door to shut it off. But car won't start. I have lights, etc. But engine won't turn over.



