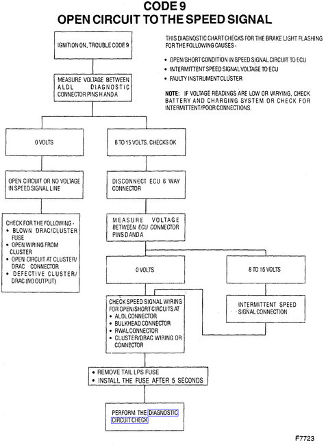
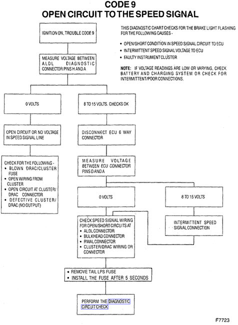
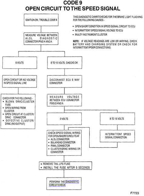
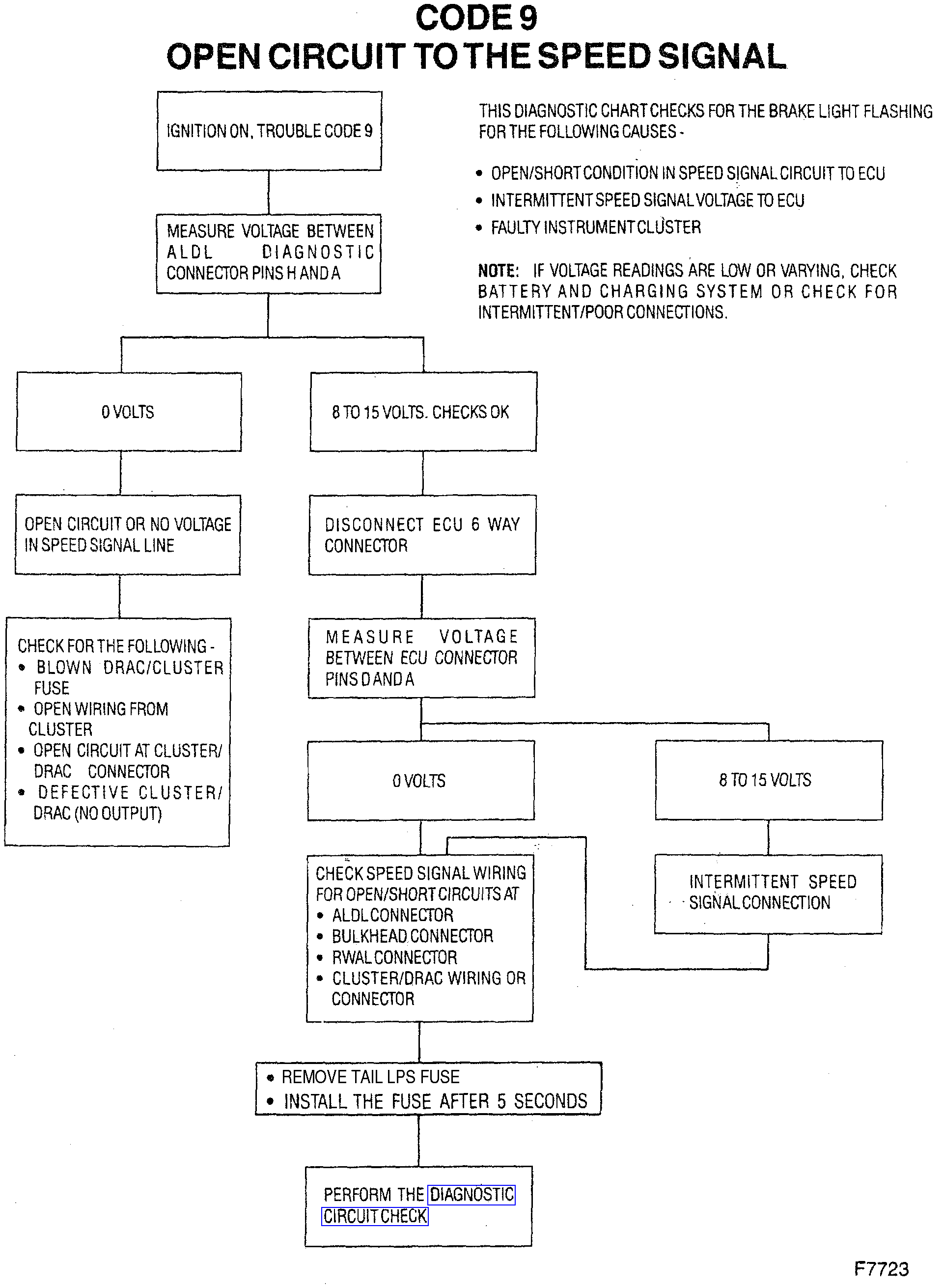
Sunday, October 21st, 2018 AT 6:33 PM
Brake light in dash flashes a code 6, which according to chart, is a bad speed sensor. My van is a g3500, 350 v8, 400 turbo transmission. I do not know where speed sensor is located. Can you help?





