Battery specs?

Tiny
KHALIDDVD
  • MEMBER
  • 2010 HYUNDAI TUCSON
  • 2.0L
  • 4 CYL
  • 2WD
  • AUTOMATIC
  • 122,000 MILES
How do I know whither my car battery has American specs (ASE) or Japanese specs (jas) etc. I want to know this to inter battery standard in the battery tester conductance to test battery.
Friday, December 16th, 2022 AT 12:29 AM

3 Replies

Tiny
KEN L
  • MASTER CERTIFIED MECHANIC
  • 55,512 POSTS
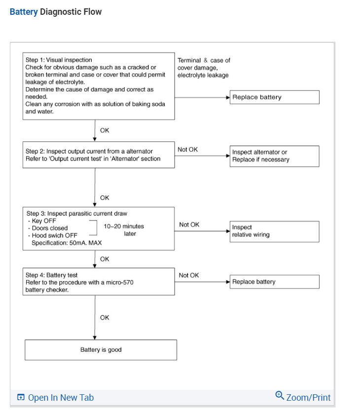
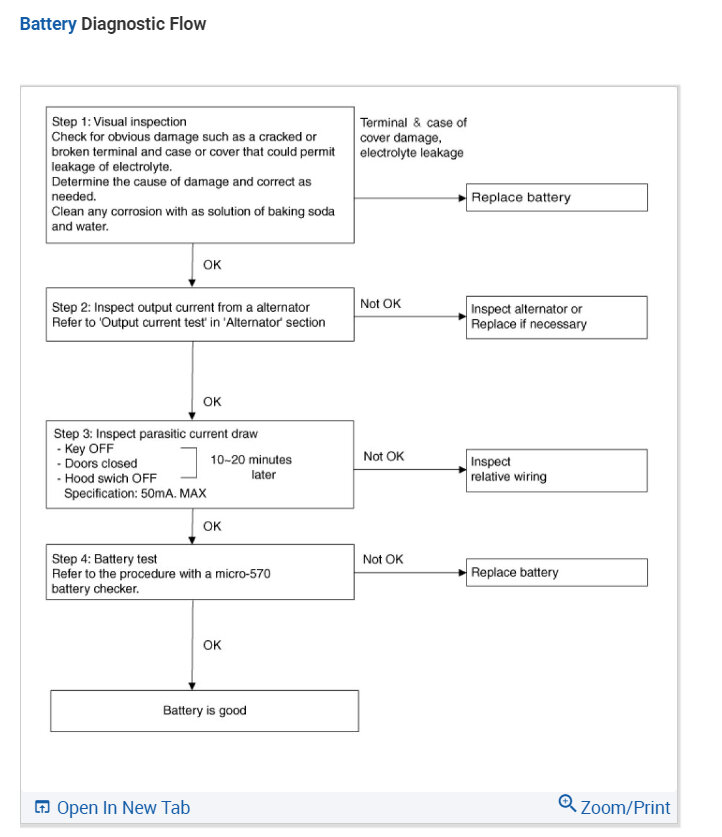
I am not sure what you want to do here, test the battery or replace it? It doesn't matter what spec the battery is if it fails the load test. Here is the information we have for the battery. There is a battery sensor at the battery cable. Please check the images below for more information.

Battery Parasitic Draw

Read the current value of the ammeter.
A. If the parasitic current is over the limit value, search for abnormal circuit by removing a fuse one by one and checking the parasitic current.
B. Reconnect the suspected parasitic current draw circuit fuse only and search for suspected unit by removing a component connected with the circuit one by one until the parasitic draw drops below limit value.

Limit value (after 10 - 20 min.). Below 50 mA

Vehicle parasitic current inspection
1. Turn the all electric devices OFF, and then turn the ignition switch OFF.
2. Close all doors except the engine hood, and then lock all doors.
(1)Disconnect the hood switch connector.
(2)Close the trunk lid.
(3)Close the doors.
3. Wait a few minutes until the vehicle's electrical systems go to sleep mode.

NOTE:
For an accurate measurement of a vehicle parasitic current, all electrical systems should go to sleep mode. (It takes at least one hour or at most one day.) However, an approximate vehicle parasitic current can be measured after 10 - 20 minutes.

4. Connect an ammeter in series between the battery (-) terminal and the ground cable, and then disconnect the clamp from the battery (-) terminal slowly.

CAUTION:
Be careful that the lead wires of an ammeter do not come off from the battery (-) terminal and the ground cable to prevent the battery from being reset. In case the battery is reset, connect the battery cable again, and then start the engine or turn the ignition switch ON for more than 10 sec. Repeat the procedure from No. 1.
To prevent the battery from being reset during the inspection,
1) Connect a jump cable between the battery (-) terminal and the ground cable.
2) Disconnect the ground cable from the battery (-) terminal.
3) Connect an ammeter between the battery (-) terminal and the ground cable.
4) After disconnecting the jump cable, read the current value of the ammeter.

Check out the images (below). Please let us know if you need anything else to get the problem fixed.
Was this
answer
helpful?
Yes
No
Friday, December 16th, 2022 AT 10:54 AM
Tiny
KHALIDDVD
  • MEMBER
  • 56 POSTS
Thank you. But I had have modern battery conductance tester (DHC) and it requires entering some specification related to industrial standard and I am asking if you can help.
Was this
answer
helpful?
Yes
No
Sunday, December 18th, 2022 AT 5:29 AM
Tiny
KEN L
  • MASTER CERTIFIED MECHANIC
  • 55,512 POSTS
I see, these are all the stats on the battery they give us, they do not give us the information you are requesting.
Was this
answer
helpful?
Yes
No
Monday, December 19th, 2022 AT 3:41 PM

Please login or register to post a reply.