Tuesday, May 8th, 2018 AT 9:21 PM
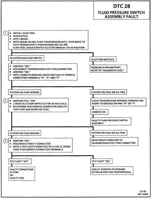
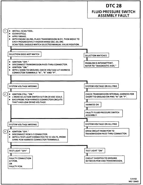
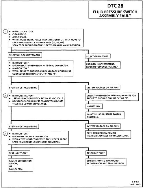
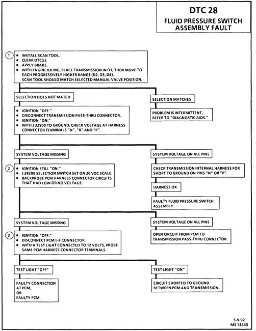
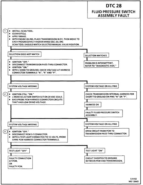
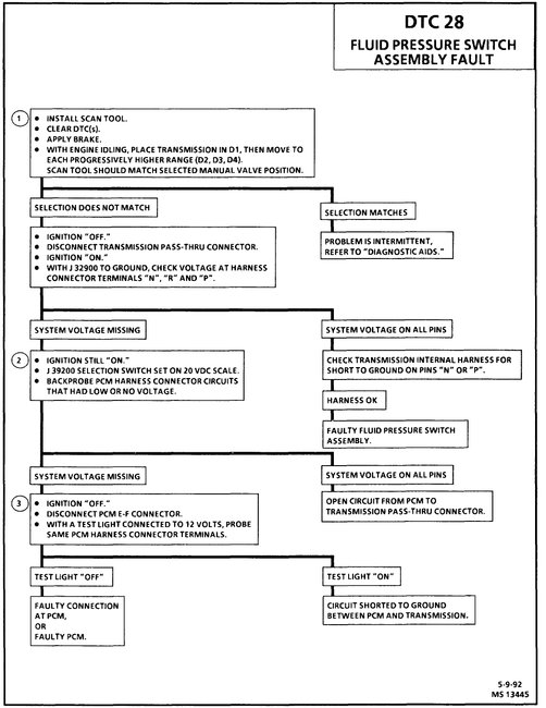
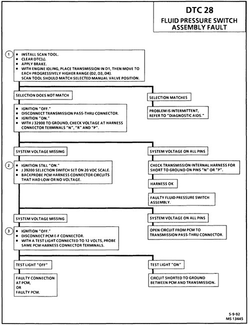
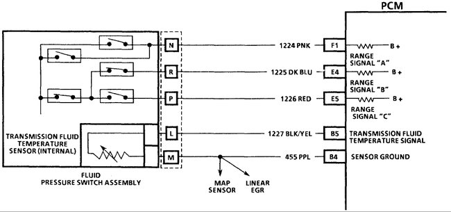
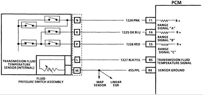
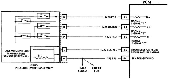
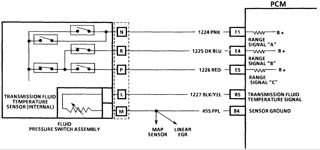
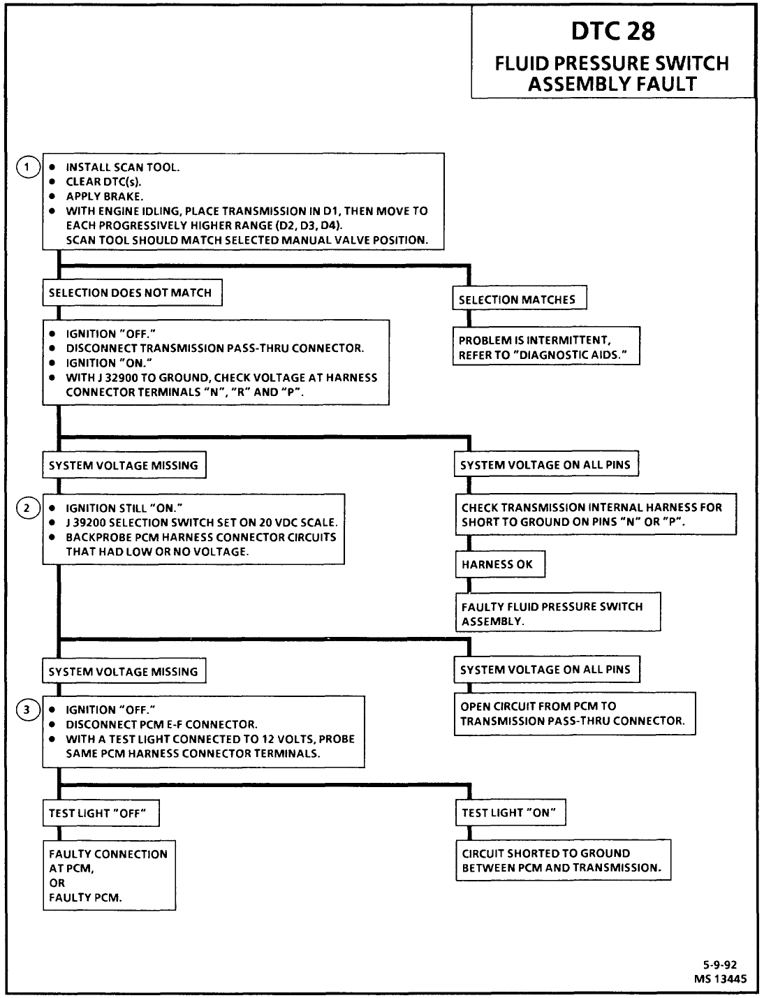
Hi, I have the truck listed above K1500. I got a 28 code. It is an OBDsystem. I am having problems with the transmission sometimes. I looked it up and it says it is the auto transmission range pressure switch error. Is their anyway to test this or should I just replace the transmission pressure switch? Thanks.


