Monday, December 5th, 2011 AT 7:15 PM
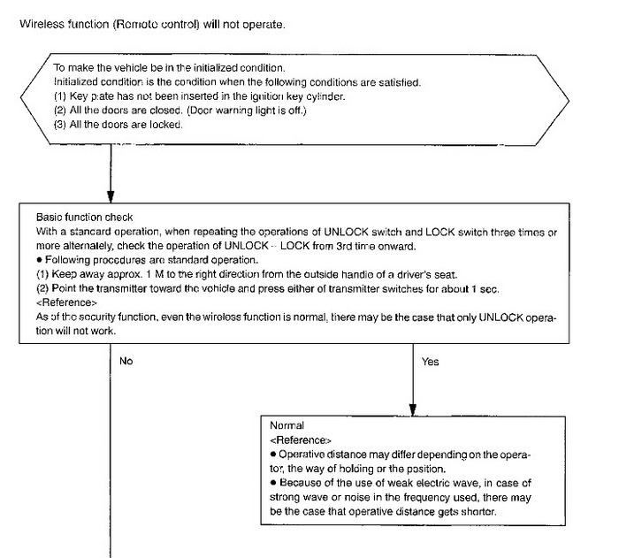
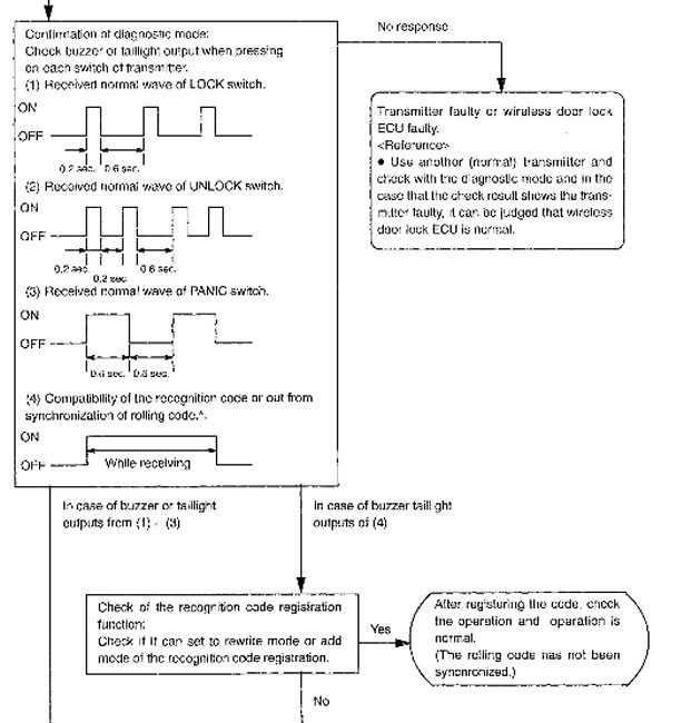
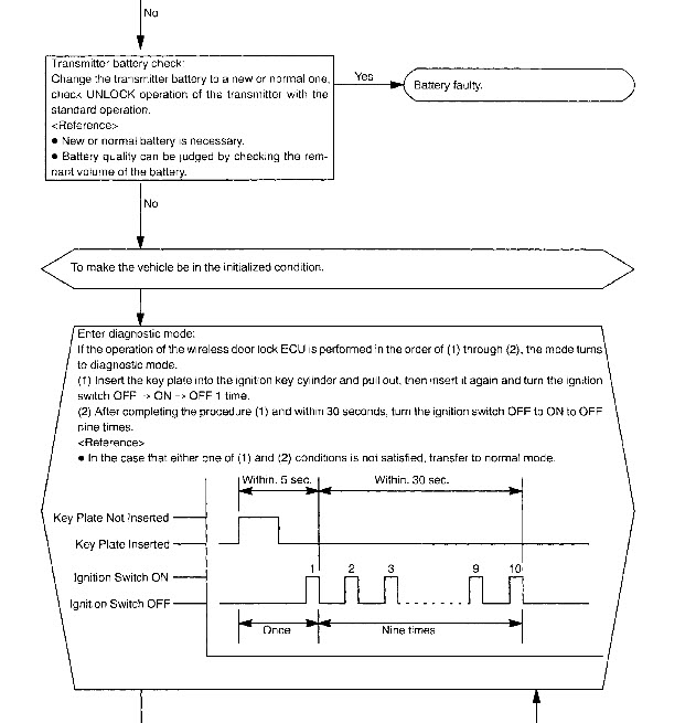
The keyless remote no longer either unlocks or locks the doors. The battery has been replaced in the key/remote and, when a button is depressed on the key/remote, the small, red LED lights up but nothing happens. This happened a couple of days ago for a short period and then all appeared to be working again. Now nothing. The key opens the door and can be used to open (or lock) all doors. Likewise, the panel on the inside driver's door also works to either open or lock all doors. What could cause this and is there a check list I can follow to narrow down the problem? Thanks.




