O2 sensors

Tiny
DOWNWIND
  • MEMBER
  • 1993 CADILLAC DEVILLE
  • V8
  • FWD
  • AUTOMATIC
  • 150,000 MILES
How many O2 sensors are on a 1993 Cadillac DeVille 4.9?
Tuesday, April 26th, 2011 AT 7:22 PM

5 Replies

Tiny
DOCFIXIT
  • MECHANIC
  • 18,828 POSTS
1
Was this
answer
helpful?
Yes
No
Tuesday, April 26th, 2011 AT 7:27 PM
Tiny
DOWNWIND
  • MEMBER
  • 4 POSTS
Thank you. I'm getting conflicting info, including info from the diagnostic circuits from the vehicle, which indicate there may be as many as 3 O2 sensors. The main complaint on the vehicle is very poor gas mileage (14 mpg on the highway). Thanks again.
Was this
answer
helpful?
Yes
No
+3
Tuesday, April 26th, 2011 AT 7:44 PM
Tiny
DOCFIXIT
  • MECHANIC
  • 18,828 POSTS
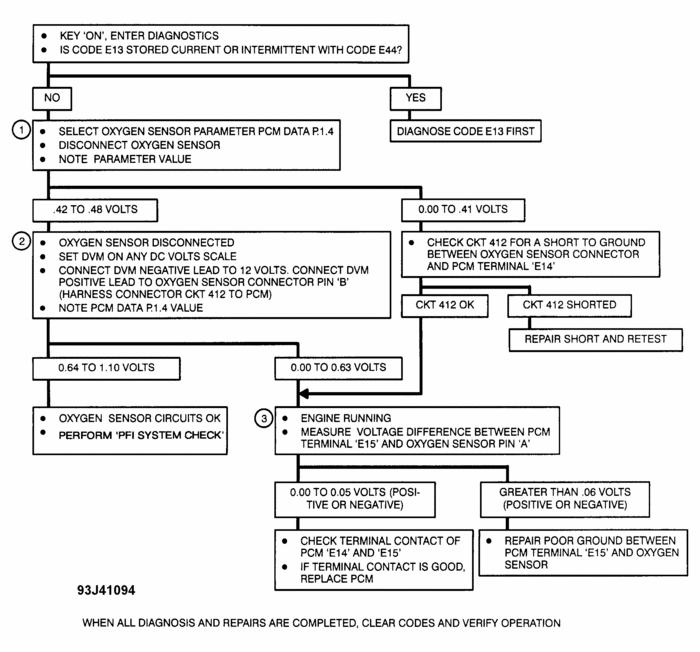
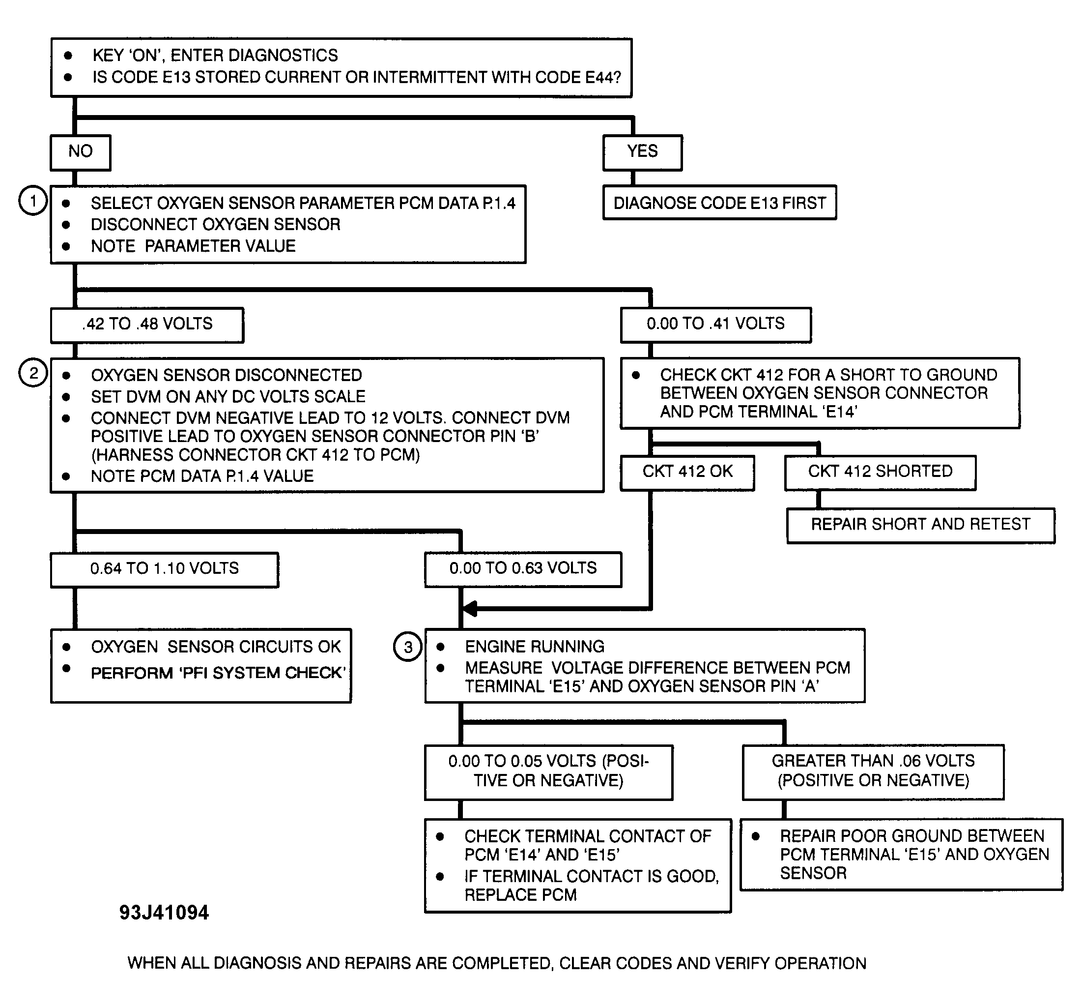
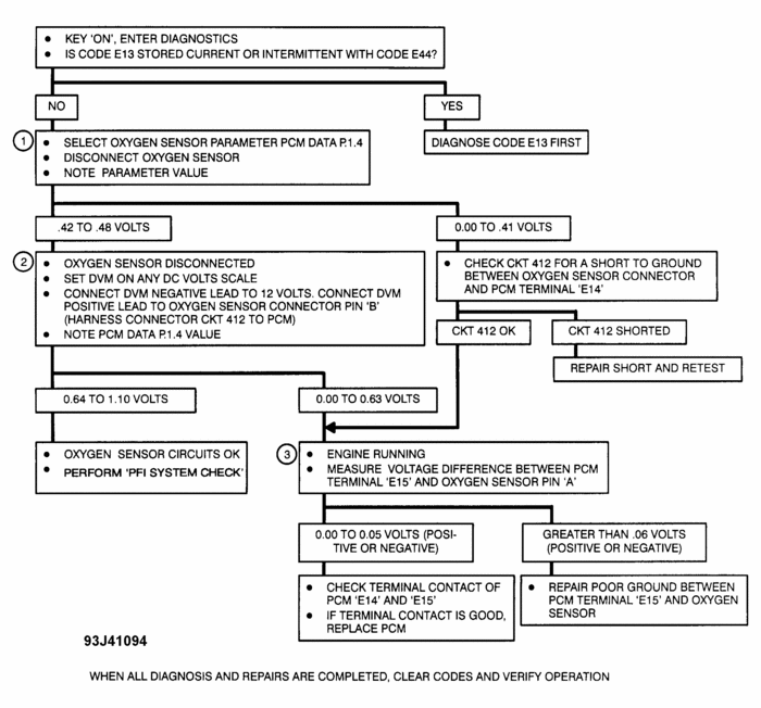
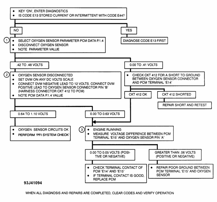
Getting code E44 or E45?
Was this
answer
helpful?
Yes
No
+4
Tuesday, April 26th, 2011 AT 7:55 PM
Tiny
DOWNWIND
  • MEMBER
  • 4 POSTS
E44, which says that the right O2 sensor is lean.
Nothing on E45.
Was this
answer
helpful?
Yes
No
+1
Tuesday, April 26th, 2011 AT 8:21 PM
Tiny
DOCFIXIT
  • MECHANIC
  • 18,828 POSTS
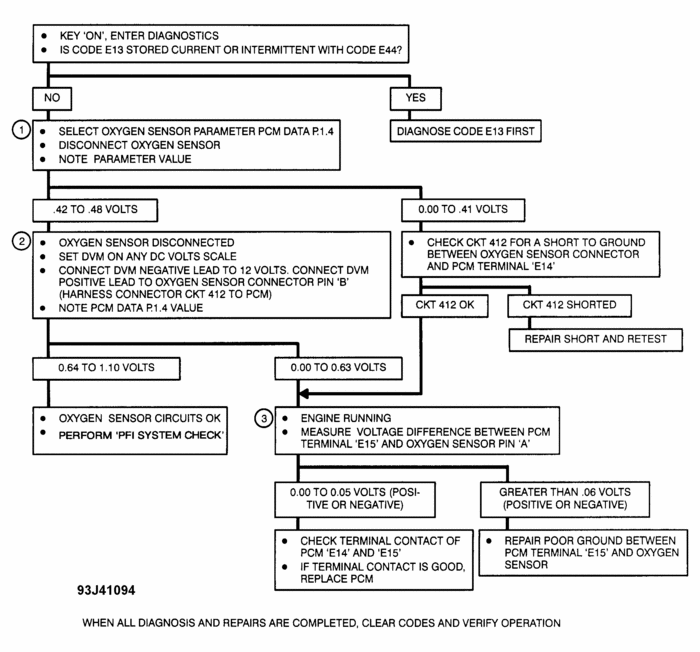
Need DVOM follow tests in flow chart see diagrams
Was this
answer
helpful?
Yes
No
+1
Wednesday, April 27th, 2011 AT 3:47 PM

Please login or register to post a reply.