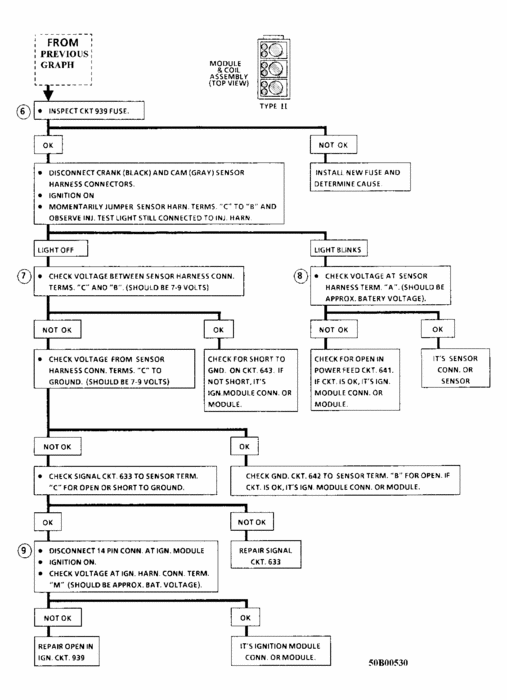
Friday, October 7th, 2011 AT 5:01 AM
I have removed the CPS from my vehicle and would like to test the resistance before I shell out the $40 for a new one. It has 4 probes in the connector on which ones should I touch with my multimeter. And what are the readings if it is in fact still good. Thanks in advance.














