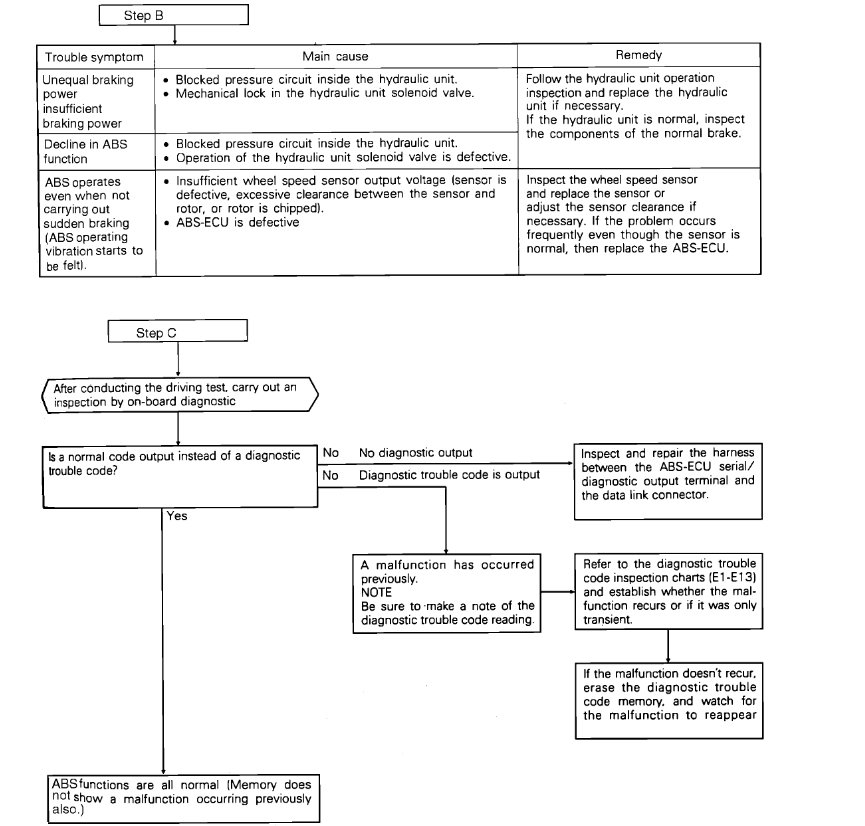
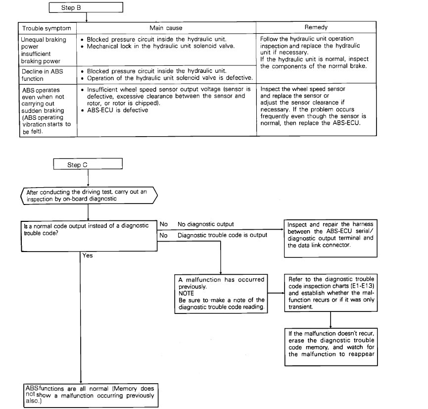
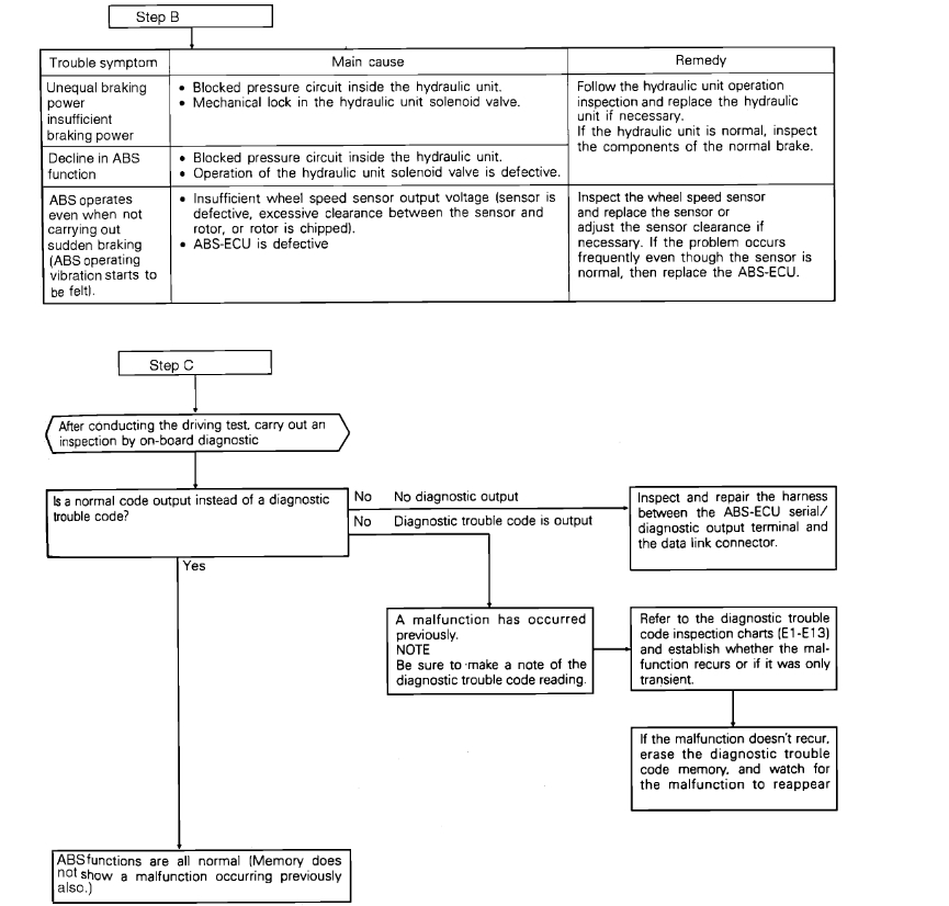
I´m struggling with the ABS panel light. I don't know if the cause is one of the ABS sensors (wheel) or the ABS central.
The car has an ODB2 plug, but any scanner works on it. Just recognize but do not inform anything.
Can you help me, please?
Many thanks.
Thursday, August 18th, 2022 AT 2:13 PM













