Friday, September 23rd, 2022 AT 9:41 AM
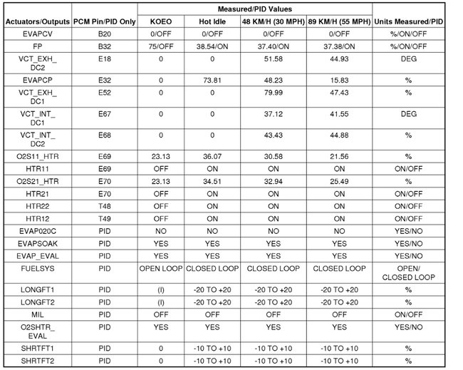
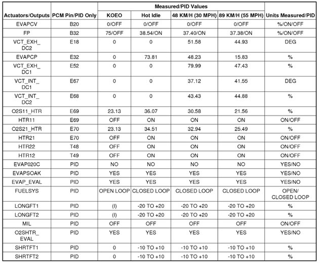
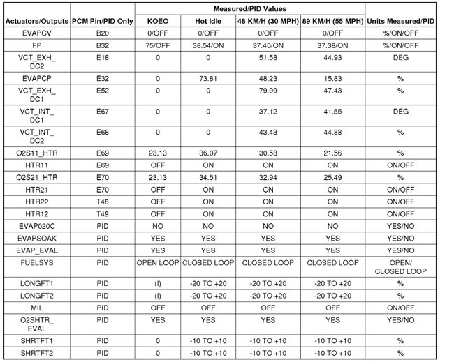
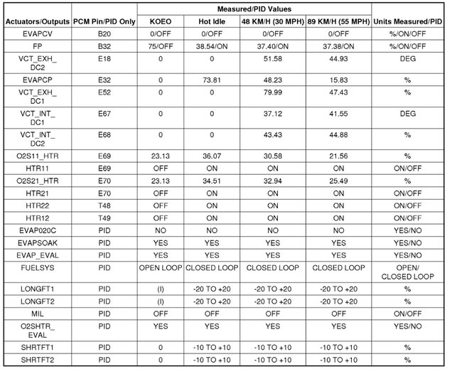
I had a whole list of codes for b1s1 on my vehicle. I found that the plug was chewed up at the harness and three wires were shorted out. I replaced the plug now I'm getting a P0135 code. I have a wiring diagram but need a PCM pinout diagram to try to further diagnose the issue.




















