Monday, March 16th, 2009 AT 5:37 PM
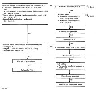
Replaced vehicle speed sensor ( SU 6201 Autozone #) located on tranny. Code is still comng on the next day. So I took off the right front wheel, to look at the sensor, behind and to the rear of the brake disc splash cover. Took it out and clean it. Looks OK? ( I think its called the speed out put sensor) Anyway do I need to reset computor? And please tell me how to anyway, because I can, t find a clear answer about it anywhere ! Right now the car sits ( with the negative battery cable disconnected and the key in the run possition ) It, s probably been a couple of hours since I took the batt. Cable off.





