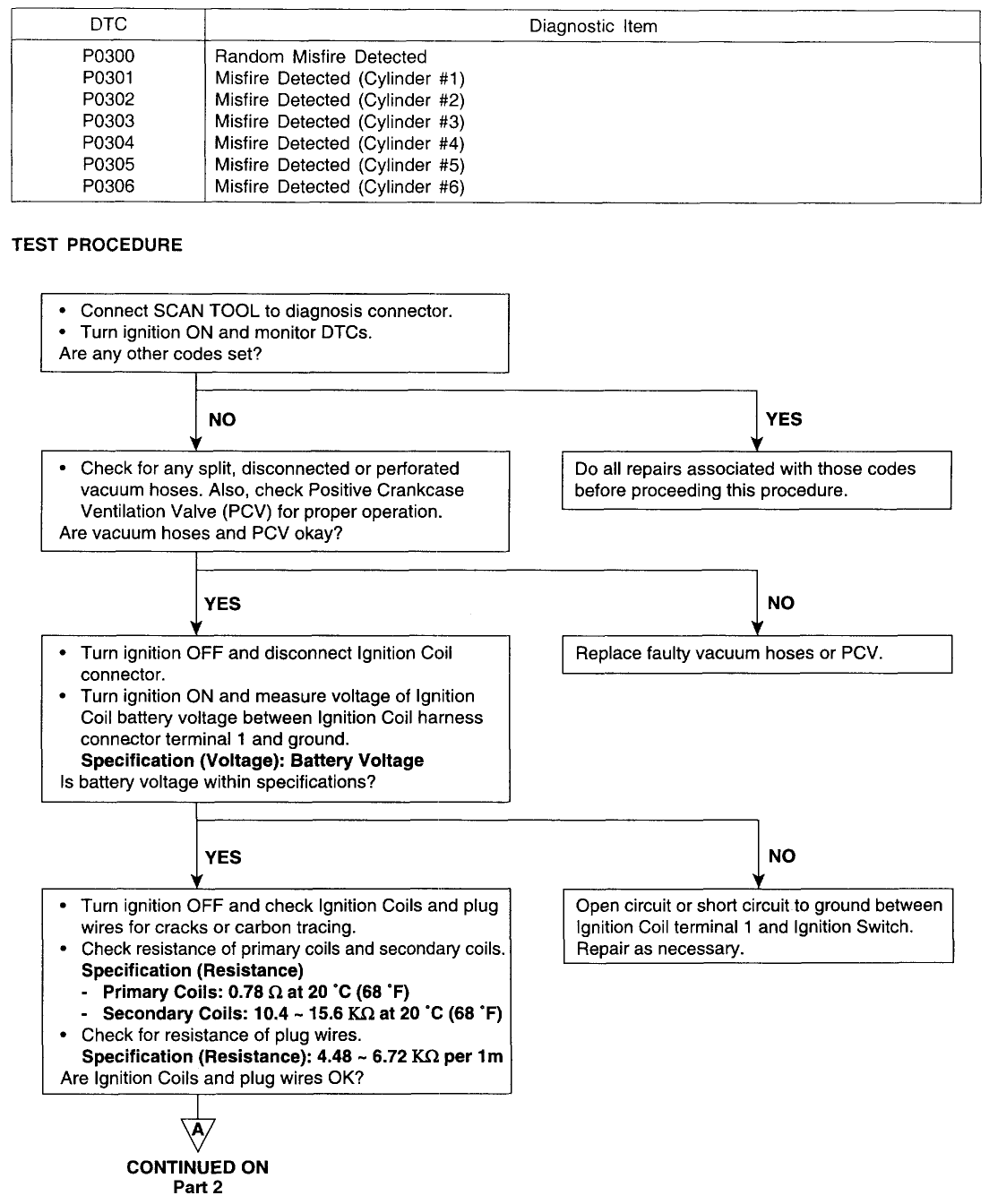
Monday, December 20th, 2010 AT 4:32 AM
My 2004 Kia Amanti Engine misses on the #6 cylinder. I replaced the coil, all spark plugs and all plug wires. It still misses on # 6





